【药物名称】BTA-188
化学结构式(Chemical Structure):
参考文献No.46518
标题:Antiviral agents
作者:Wu, W.-Y.; Watson, K.; Jin, B.; Krippner, G.; McConnell, D. (Biota Scientific Management Pty Ltd.)
来源:WO 0078746
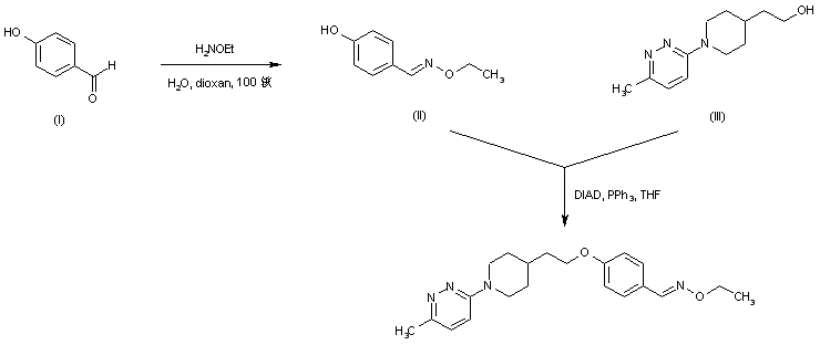
合成路线图解说明:

Treatment of 4-hydroxybenzaldehyde (I) with O-ethylhydroxylamine produced the corresponding O-ethyloxime (II). Coupling of (II) with alcohol (III) under Mitsunobu conditions then gave the title ether.

Drug Information Express,Drug R&D,Chemical Database,Patent Search.
Copyright © 2006-2026 Drug Future. All rights reserved.Contact Us