【药物名称】ZXY-1106, TX-527
化学结构式(Chemical Structure):
参考文献No.25971
标题:Novel structural analogues of vitamin D
作者:Bouillon, R.; Vandewalle, M.; De Clercq, P.J. (Laboratoire Th閞amex)
来源:EP 0707566; EP 0972762; US 6548715; WO 9501960
合成路线图解说明:

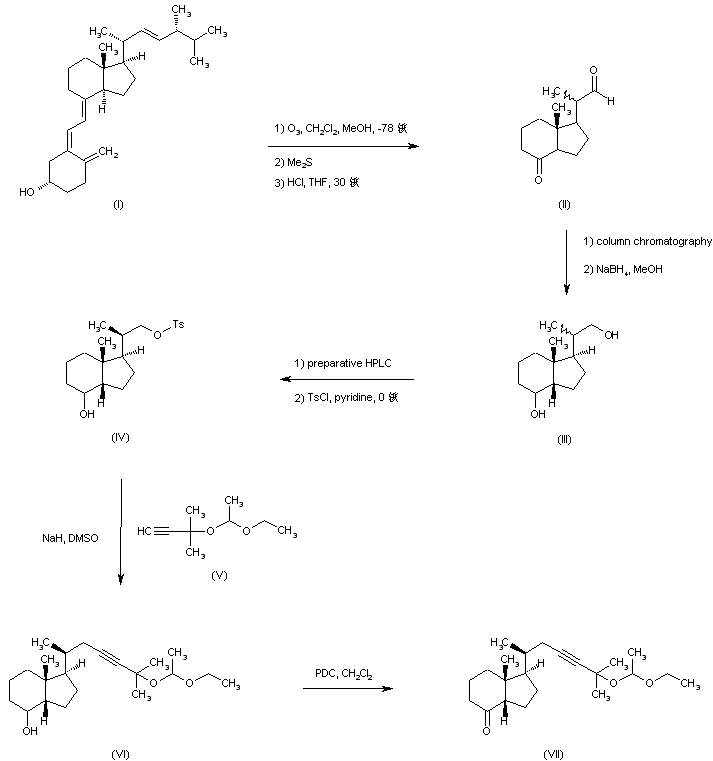
The precursor bicyclic ketone (VII) is prepared by two different methods. Ozonolysis of vitamin D2 (I) and subsequent acid-catalyzed epimerization gives rise to keto aldehyde (II) as a mixture of four diastereoisomers. These isomers can be partly separated by column chromatography into two fractions consisting of epimeric mixtures at the methyl group. Reduction of the desired isomeric mixture by means of NaBH4 in MeOH furnishes the corresponding diols (III). Further HPLC separation, followed by tosylation of the primary hydroxyl group leads to tosylate (IV). Condensation of (IV) with the sodium acetylide generated from the O-protected 2-methyl-3-butyn-2-ol (V) yields (VI). The secondary alcohol group of (VI) is then oxidized to the corresponding ketone (VII) employing pyridinium dichromate.

合成路线图解说明:

Wittig condensation between ketone (VII) and the phosphine oxide (XVII) produces diene (XVIII). This is finally deprotected by means of acidic ion-exchange resin in MeOH/THF to furnish the title compound.

参考文献No.725065
标题:Synthesis of 14,20-bis-epi-1alpha,25-dihydroxy-19-norvitamin D3 analogues
作者:Sabbe, K.; Van Gool, M.; Vandewalle, M.; Zhao, X.-Y.
来源:Eur J Org Chem 1999,(9),2241
合成路线图解说明:

The precursor bicyclic ketone (VII) is prepared by two different methods. Ozonolysis of vitamin D2 (I) and subsequent acid-catalyzed epimerization gives rise to keto aldehyde (II) as a mixture of four diastereoisomers. These isomers can be partly separated by column chromatography into two fractions consisting of epimeric mixtures at the methyl group. Reduction of the desired isomeric mixture by means of NaBH4 in MeOH furnishes the corresponding diols (III). Further HPLC separation, followed by tosylation of the primary hydroxyl group leads to tosylate (IV). Condensation of (IV) with the sodium acetylide generated from the O-protected 2-methyl-3-butyn-2-ol (V) yields (VI). The secondary alcohol group of (VI) is then oxidized to the corresponding ketone (VII) employing pyridinium dichromate.

合成路线图解说明:

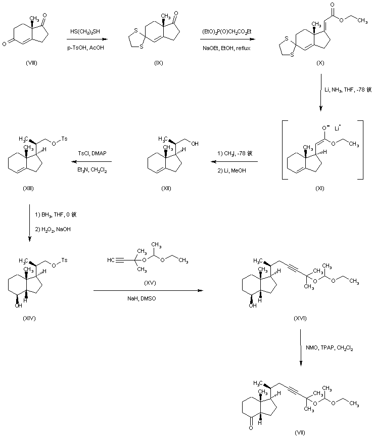
In a different strategy, the bicyclic dione (VIII) is selectively protected as the thioketal (IX) with ethanedithiol and p-TsOH. Horner-Emmons condensation of mono-ketone (IX) with triethyl phosphonoacetate leads to the conjugated ester (X). Simultaneous reduction of the conjugated double bond and of the thioketal group of (X) with lithium metal in liquid ammonia produces enolate (XI), which is in situ methylated with iodomethane, and the subsequent reduction of the ester function with Li/MeOH yields alcohol (XII). Alcohol (XII) is then converted into the corresponding tosylate (XIII) with p-toluenesulfonyl chloride and DMAP. Hydroboration of the double bond of (XIII), followed by oxidative treatment leads to alcohol (XIV). After condensation of tosylate (XIV) with alkyne (XV), the resultant alcohol adduct (XVI) is oxidized to ketone (VII) employing N-methylmorpholine-N-oxide in the presence of tetrapropylammonium perruthenate.

合成路线图解说明:

Wittig condensation between ketone (VII) and the phosphine oxide (XVII) produces diene (XVIII). This is finally deprotected by means of acidic ion-exchange resin in MeOH/THF to furnish the title compound.

Drug Information Express,Drug R&D,Chemical Database,Patent Search.
Copyright © 2006-2026 Drug Future. All rights reserved.Contact Us