【药物名称】
化学结构式(Chemical Structure):
参考文献No.524947
标题:Novel and highly potent 5-HT3 receptor agonists based on a pyrroloquinoxaline structure
作者:Campiani, G.; Cappelli, A.; Nacci, V.; Anzini, M.; Vomero, S.; Hamon, M.; Cagnotto, A.; Fracasso, C.; Uboldi, C.; Caccia, S.; Consolo, S.; Mennini, T.
来源:J Med Chem 1997,40(22),3670
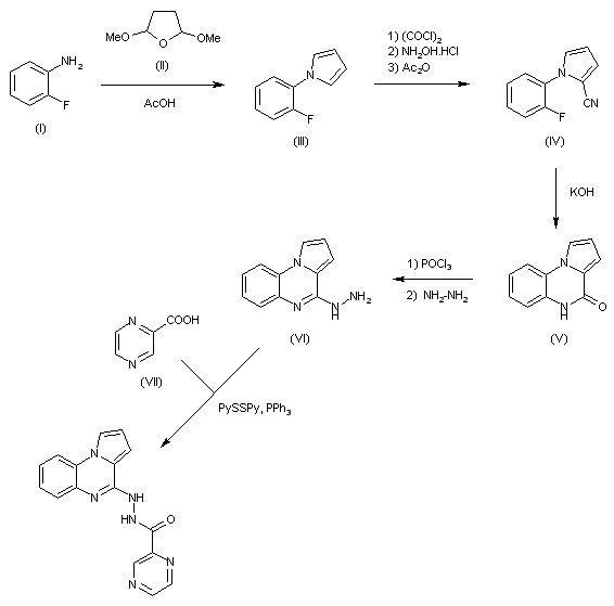
合成路线图解说明:

Clauson-Kaas reaction between 2-fluoroaniline (I) and 2,5-dimethoxytetrahydrofuran (II) in refluxing HOAc affords pyrrolic compound (III), which is then converted into cyanopyrrole derivative (IV) through a one-pot sequence involving formylation with oxalyl chloride, oximation with NH2OH.HCl and dehydration with Ac2O. Cyclization of nitrile (IV) by treatment with KOH in ethylene glycol or in tert-butyl alcohol yields quinoxalinone derivative (V), which is then transformed into the hydrazine derivative (VI) by refluxing with POCl3 and catalytic N,N-dimethylaniline followed by treatment with hydrazine in MeOH. Finally, the desired product is obtained by reaction of (VI) with pyrazinecarboxylic acid (VII) in the presence of PPh3 and 2,2'-dipyridyl disulfide (Aldrithiol-2) in CH2Cl2.

参考文献No.605701
标题:Quinoxalinylethylpyridylthioureas (QXPTs) as potent non-nucleoside HIV-1 reverse transcriptase (RT) inhibitors. Further SAR studies and identification of a novel orally bioavailable hydrazine-based antiviral agent
作者:Campiani, G.; Aiello, F.; Fabbrini, M.; Morelli, E.; Ramunno, A.; Armaroli, S.; Nacci, V.; Garofalo, A.; Greco, G.; Novellino, E.; Maga, G.; Spadari, S.; Bergamini, A.; Ventura, L.; Bongiovanni, B.; Capozzi, M.; Bolacchi, F.; Marini, S.; et al.
来源:J Med Chem 2001,44(3),305
合成路线图解说明:

Clauson-Kaas reaction between 2-fluoroaniline (I) and 2,5-dimethoxytetrahydrofuran (II) in refluxing HOAc affords pyrrolic compound (III), which is then converted into cyanopyrrole derivative (IV) through a one-pot sequence involving formylation with oxalyl chloride, oximation with NH2OH.HCl and dehydration with Ac2O. Cyclization of nitrile (IV) by treatment with KOH in ethylene glycol or in tert-butyl alcohol yields quinoxalinone derivative (V), which is then transformed into the hydrazine derivative (VI) by refluxing with POCl3 and catalytic N,N-dimethylaniline followed by treatment with hydrazine in MeOH. Finally, the desired product is obtained by reaction of (VI) with pyrazinecarboxylic acid (VII) in the presence of PPh3 and 2,2'-dipyridyl disulfide (Aldrithiol-2) in CH2Cl2.

Drug Information Express,Drug R&D,Chemical Database,Patent Search.
Copyright © 2006-2026 Drug Future. All rights reserved.Contact Us