【药物名称】SR-125329, SSR-125329A
化学结构式(Chemical Structure):
参考文献No.46387
标题:Benzene derivs., preparation method and pharmaceutical compsns. containing same
作者:Paul, R.; Boigegrain, R.; Nisato, D.; Casellas, P.; Herbert, J.M.; Bourrie, B.; Bourrie, M.; Lair, P.; Vernieres, J.C. (Sanofi-Synth閘abo)
来源:EP 1192122; FR 2794742; JP 2003502306; US 6482986; WO 0076953
合成路线图解说明:

Preparation of the intermediate aryl triflate (V) is shown is Scheme 29890101a. The dilithiated derivative of 4-bromo-3,5-dichlorophenol (I) is condensed with 2-adamantanone (II) to produce the carbinol adduct (III). Reduction of the tertiary alcohol of (III) by means of concentrated HI in boiling AcOH leads to the adamantanyl phenol (IV). This is then reacted with trifluoromethanesulfonic anhydride in cold pyridine to yield sulfonate (V).

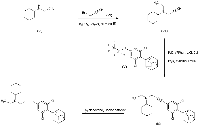
合成路线图解说明:

Alkylation of cyclohexyl ethylamine (VI) with propargyl bromide (VII) gives the tertiary amine (VIII). Then, palladium-catalyzed coupling between the propargylic amine (VIII) and aryl triflate (V) furnishes the disubstituted acetylene derivative (IX). Finally, semihydrogenation of the triple bond of (IX) in the presence of cyclohexene and Lindlar catalyst gives rise to the target cis-olefin.

Drug Information Express,Drug R&D,Chemical Database,Patent Search.
Copyright © 2006-2026 Drug Future. All rights reserved.Contact Us