【药物名称】SC-73770, M-40401
化学结构式(Chemical Structure):
参考文献No.47077
标题:Biomaterials modified with superoxide dismutase mimics
作者:Udipi, K.; Joardar, S.; Forster, D.; Riley, D.; Henke, S.; Brethaur, K.; Thurmond, B.; Ornberg, R. (Pharmacia Corp.)
来源:WO 0072893
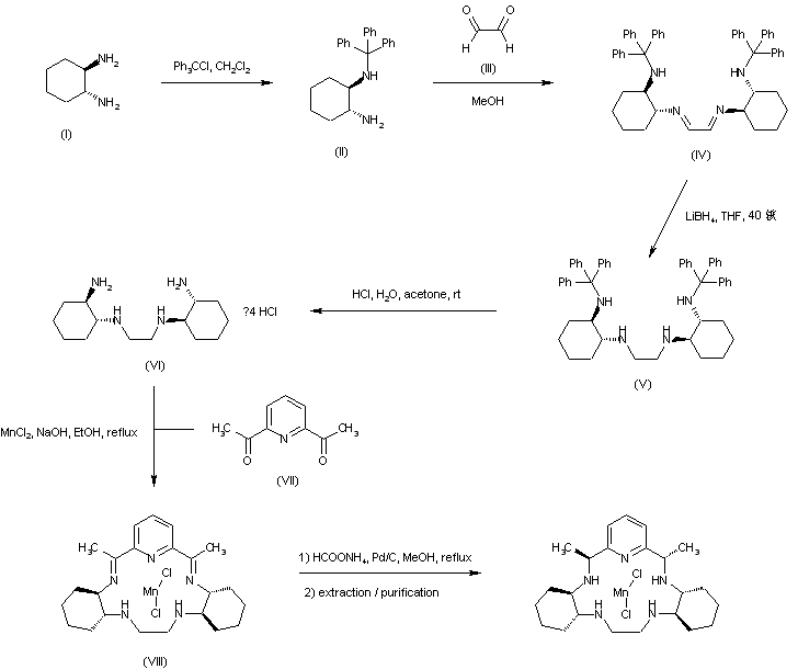
合成路线图解说明:

Treatment of (R,R)-1,2-diaminocyclohexane (I) with triphenylmethyl chloride produced the N-trityl derivative (II). Subsequent condensation of (II) with glyoxal (III) gave the bis-imine (IV), which was reduced to amine (V) using LiBH4. Cleavage of the N-trityl groups of (V) with HCl in acetone afforded tetraamine (VI). This was then condensed with 2,6-diacetylpyridine (VII) in the presence of MnCl2 to furnish the cyclic bis-imine manganese complex (VIII). Finally, transfer hydrogenation of the imine functions of (VIII) using ammonium formate and Pd/C produced the cyclic pentaamino derivative as a diastereomeric mixture. The title isomer was then purified by separative partition between H2O and CH2Cl2.

Drug Information Express,Drug R&D,Chemical Database,Patent Search.
Copyright © 2006-2026 Drug Future. All rights reserved.Contact Us