【药物名称】TC-2557(sesquifumarate), TC-2559
化学结构式(Chemical Structure):
参考文献No.47027
标题:[3-(5-Ethoxypyridin)yl]-alkenyl 1 amine cpds.
作者:Caldwell, W.S.; Dull, G.M.; Miller, C.H.
来源:US 5616716
合成路线图解说明:

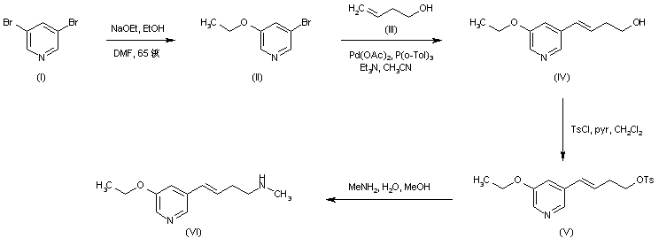
Reaction of 3,5-dibromopyridine (I) with sodium ethoxide gave 3-bromo-5-ethoxypyridine (II). Palladium-catalyzed coupling of bromopyridine (II) with 3-buten-1-ol (III) yielded the pyridinylbutenol (IV), which was further converted to tosylate (V). Displacement of the tosylate group of (V) with methylamine then gave amine (VI).

参考文献No.47028
标题:Pharmaceutical compsns. for prevention and treatment of central nervous system disorders
作者:Dull, G.M.; Dobson, G.P.; Caldwell, W.S. (R.J. Reynolds Tobacco Co.)
来源:WO 9740011
合成路线图解说明:

Reaction of 3,5-dibromopyridine (I) with sodium ethoxide gave 3-bromo-5-ethoxypyridine (II). Palladium-catalyzed coupling of bromopyridine (II) with 3-buten-1-ol (III) yielded the pyridinylbutenol (IV), which was further converted to tosylate (V). Displacement of the tosylate group of (V) with methylamine then gave amine (VI).

参考文献No.604865
标题:TC-2559: A novel orally active ligand selective at neuronal acetylcholine receptors
作者:Bencherif, M.; Bane, A.J.; Miller, C.H.; Dull, G.M.; Gatto, G.J.
来源:Eur J Pharmacol 2000,409(1),45
合成路线图解说明:

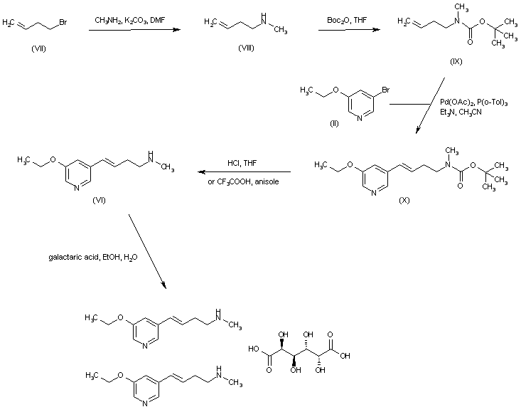
In a related method, 4-bromo-1-butene (VII) was reacted with methylamine to produce the secondary amine (VIII). After protection of (VIII) as the tert-butyl carbamate (IX), palladium-catalyzed coupling with 3-bromo-5-ethoxypyridine (II) furnished adduct (X). The N-Boc protecting group of (X) was then cleaved under acidic conditions to afford amine precursor (VI). The title hemigalactarate salt was finally prepared by treatment of amine (VI) with D-galactaric acid in aqueous ethanol.

Drug Information Express,Drug R&D,Chemical Database,Patent Search.
Copyright © 2006-2026 Drug Future. All rights reserved.Contact Us