【药物名称】
化学结构式(Chemical Structure):
参考文献No.46293
标题:Biaryl inhibitors of prenyl-protein transferase
作者:Williams, T.M. (Merck & Co., Inc.)
来源:WO 0075135
合成路线图解说明:

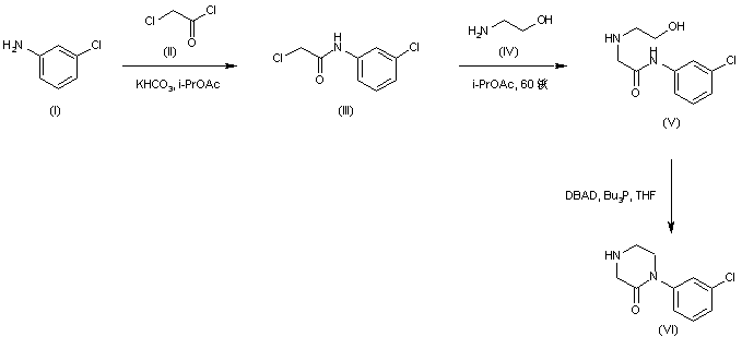
3-Chloroaniline (I) was acylated with chloroacetyl chloride (II) in isopropyl acetate. The resulting chloroacetanilide (III) was condensed with ethanolamine (IV) to yield the (hydroxyethyl)glycinamide (V). Cyclization of (V) to produce the piperazinone (VI) was then effected by treatment with di-tert-butyl azodicarboxylate and tributylphosphine.

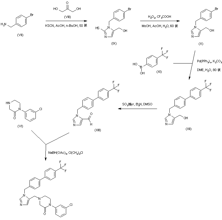
合成路线图解说明:

The mercaptoimidazole (IX) was prepared by condensation between 4-bromobenzylamine (VII), 1,3-dihydroxyacetone (VIII) and potassium thiocyanate. Oxidative desulfuration of (IX) with hydrogen peroxide in acidic medium yielded imidazole (X). The biphenyl derivative (XII) was obtained by Suzuki coupling of aryl bromide (X) with 4-(trifluoromethyl)benzeneboronic acid (XI). Subsequent oxidation of the alcohol group of (XII) under Swern conditions gave aldehyde (XIII). Finally, reductive coupling of aldehyde (XIII) with piperazinone (VI) in the presence of sodium triacetoxyborohydride furnished the title compound.

参考文献No.613887
标题:Potent inhibitors of farnesyltransferase and geranylgeranyltransferase
作者:Kohl, N.E.; Nguyen, D.N.; Lobell, R.B.; Williams, T.M.; Heimbrook, D.C.; Buser, C.A.; Huber, H.E.; Stump, C.A.; Graham, S.L.
来源:221st ACS Natl Meet (April 1 2001, San Diego) 2001,Abst MEDI 56
合成路线图解说明:

The mercaptoimidazole (IX) was prepared by condensation between 4-bromobenzylamine (VII), 1,3-dihydroxyacetone (VIII) and potassium thiocyanate. Oxidative desulfuration of (IX) with hydrogen peroxide in acidic medium yielded imidazole (X). The biphenyl derivative (XII) was obtained by Suzuki coupling of aryl bromide (X) with 4-(trifluoromethyl)benzeneboronic acid (XI). Subsequent oxidation of the alcohol group of (XII) under Swern conditions gave aldehyde (XIII). Finally, reductive coupling of aldehyde (XIII) with piperazinone (VI) in the presence of sodium triacetoxyborohydride furnished the title compound.

Drug Information Express,Drug R&D,Chemical Database,Patent Search.
Copyright © 2006-2026 Drug Future. All rights reserved.Contact Us