【药物名称】VUF-5472
化学结构式(Chemical Structure):
参考文献No.608322
标题:Thiazole and thiadiazole analogues as a novel class of adenosine receptor antagonists
作者:van Muijlwijk-Koezen, J.E.; Timmerman, H.; Vollina, R.C.; von Drabbe K黱zel, J.F.; de Groote, M.; Visser, S.; Ijzerman, A.P.
来源:J Med Chem 2001,44(5),749
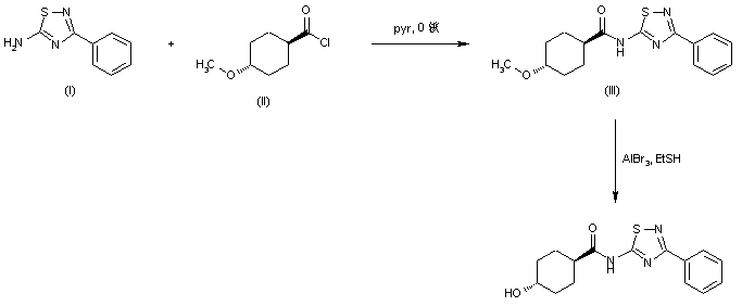
合成路线图解说明:

The acylation of 5-amino-3-phenyl-1,2,4-thiadiazole (I) with trans-4-methoxycyclohexanecarbonyl chloride (II) in the presence of pyridine produced the corresponding amide (III). Subsequent methyl ether cleavage using aluminum tribromide and ethanethiol yielded the title hydroxy derivative.

Drug Information Express,Drug R&D,Chemical Database,Patent Search.
Copyright © 2006-2026 Drug Future. All rights reserved.Contact Us