【药物名称】
化学结构式(Chemical Structure):
参考文献No.628676
标题:Inhibitors of the C2-symmetric HIV-1 protease: Nonsymmetric binding of a symmetric cyclic sulfamide with ketoxime groups in the P2/P2' side chains
作者:Hult閚, J.; Andersson, H.O.; Schaal, W.; Danielson, H.U.; Classon, B.; Kvarnstrom, I.; Karlen, A.; Unge, T.; Samuelsson, B.; Hallberg, A.
来源:J Med Chem 1999,42(20),4054
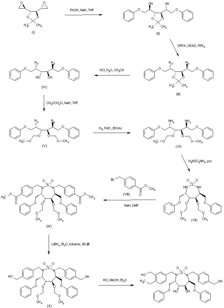
合成路线图解说明:

Nucleophilic ring opening of diepoxide (I) with sodium phenolate gave diol (II), which was converted to diazide (III) by treatment with diphenylphosphorazidate under Mitsunobu conditions. After acid hydrolysis of the acetonide group of (III), the resultant diol (IV) was further protected as the bis(methoxymethyl) ether (V). Subsequent reduction of the azido groups of (V) by hydrogenation over Pd/C furnished diamine (VI). This was then cyclized to thiadiazepine (VII) upon heating with sulfamide in refluxing pyridine. N-Alkylation of sulfonamide (VII) with methyl 4-(bromomethyl)benzoate (VIII) in the presence of NaH in DMF provided adduct (IX). The ester functions of (IX) were then reduced with LiBH4 to afford the bis-hydroxymethyl derivative (X). Finally, deprotection of the methoxymethyl groups of (X) was achieved by treatment with HCl in MeOH-Et2O.

参考文献No.628677
标题:Cyclic HIV-1 protease inhibitors derived from mannitol: Synthesis, inhibitory potencies, and computational predictions of binding affinities
作者:Hult閚, J.; Bonham, N.M.; Nillroth, U.; Hansson, T.; Zuccarello, G.; Bouzide, A.; Aqvist, J.; Classon, B.; Danielson, U.H.; Karlen, A.; Kvarnstrom, I.; Samuelsson, B.; Hallberg, A.
来源:J Med Chem 1997,40(6),885
合成路线图解说明:

Nucleophilic ring opening of diepoxide (I) with sodium phenolate gave diol (II), which was converted to diazide (III) by treatment with diphenylphosphorazidate under Mitsunobu conditions. After acid hydrolysis of the acetonide group of (III), the resultant diol (IV) was further protected as the bis(methoxymethyl) ether (V). Subsequent reduction of the azido groups of (V) by hydrogenation over Pd/C furnished diamine (VI). This was then cyclized to thiadiazepine (VII) upon heating with sulfamide in refluxing pyridine. N-Alkylation of sulfonamide (VII) with methyl 4-(bromomethyl)benzoate (VIII) in the presence of NaH in DMF provided adduct (IX). The ester functions of (IX) were then reduced with LiBH4 to afford the bis-hydroxymethyl derivative (X). Finally, deprotection of the methoxymethyl groups of (X) was achieved by treatment with HCl in MeOH-Et2O.

Drug Information Express,Drug R&D,Chemical Database,Patent Search.
Copyright © 2006-2026 Drug Future. All rights reserved.Contact Us