【药物名称】YM-193489
化学结构式(Chemical Structure):
参考文献No.46291
标题:Novel isoquinoline derivs. or salts thereof
作者:Okazaki, T.; Watanabe, T.; Wada, K.; Kakefuda, A.; Masuda, N. (Yamanouchi Pharmaceutical Co., Ltd.)
来源:EP 1186601; WO 0075133
合成路线图解说明:

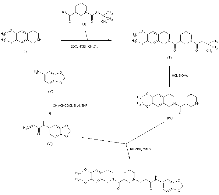
Acylation of 6,7-dimethoxy-1,2,3,4-tetrahydroisoquinoline (I) with N-Boc-nipecotic acid (II) by means of EDC/HOBt gives amide (III). Subsequent acidic cleavage of the Boc protecting group yields amine (IV). 3,4-Methylenedioxyaniline (V) is acylated by acryloyl chloride in the presence of Et3N to produce the acrylanilide (VI). Then, Michael addition of piperidine (IV) to the acrylanilide (VI) in boiling toluene provides the title compound.

参考文献No.686790
标题:Structure-activity relationships of novel 1,2,3,4-tetrahydroisoquinolin derivatives as bradycardic agents
作者:Kakefuda, A.; Okazaki, T.; Watanabe, T.; et al.
来源:Drugs Fut 2002,27(Suppl. A),
合成路线图解说明:

Acylation of 6,7-dimethoxy-1,2,3,4-tetrahydroisoquinoline (I) with N-Boc-nipecotic acid (II) by means of EDC/HOBt gives amide (III). Subsequent acidic cleavage of the Boc protecting group yields amine (IV). 3,4-Methylenedioxyaniline (V) is acylated by acryloyl chloride in the presence of Et3N to produce the acrylanilide (VI). Then, Michael addition of piperidine (IV) to the acrylanilide (VI) in boiling toluene provides the title compound.

Drug Information Express,Drug R&D,Chemical Database,Patent Search.
Copyright © 2006-2026 Drug Future. All rights reserved.Contact Us