【药物名称】
化学结构式(Chemical Structure):
参考文献No.605037
标题:Synthesis and biological activity of the 1alpha,25-dihydroxyvitamin D3 diastereomer with unnatural configuration at the rings C/D side-chain moiety
作者:Marczak, S.; Przezdziecka, A.; Wicha, J.; Steinmeyer, A.; Zugel, U.
来源:Bioorg Med Chem Lett 2001,11(1),63
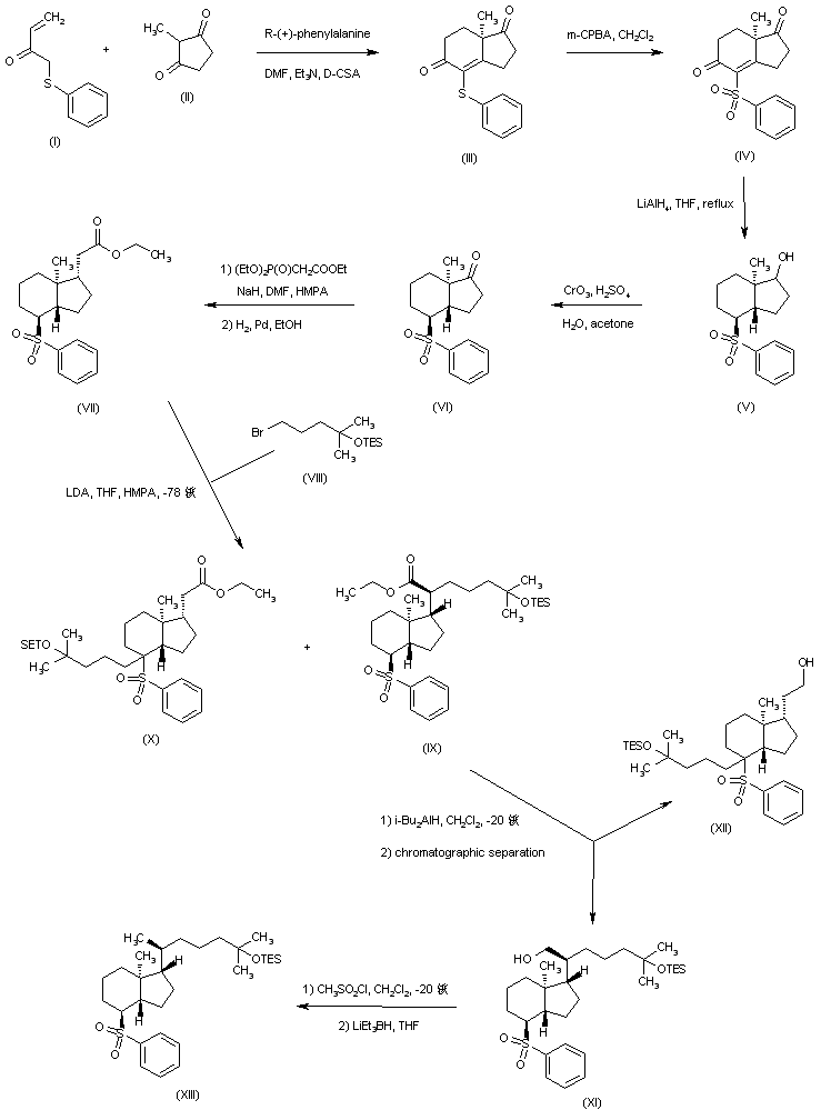
合成路线图解说明:

Asymmetric Robinson annulation of 2-methylcyclopentane-1,3-dione (II) with (phenylsulfanyl)methyl vinyl ketone (I) using R-(+)-phenylalanine as the catalyst afforded the chiral bicyclic dione (III). Oxidation of the sulfide group of (III) by means of m-chloroperbenzoic acid gave sulfone (IV). This was reduced with LiAlH4 to the trans-hydrindane derivative (V), which was further oxidized to ketone (VI) with Jones reagent. The indaneacetic ester (VII) was obtained by Horner-Emmons condensation of ketone (VI) with triethyl phosphonoacetate, followed by catalytic hydrogenation. Treatment of (VII) with bromide (VIII) in the presence of LDA provided an inseparable mixture (IX and X) of alkylated compounds at the alpha position of the ester and sulfone functions, respectively. Ester reduction of this mixture by means of DIBAL afforded the mixture of alcohols (XI) and (XII), which were separated by chromatography. The desired alcohol (XI) was reduced to the methyl derivative (XIII) via conversion to the corresponding mesylate, which was then reduced by treatment with lithium triethyl borohydride.

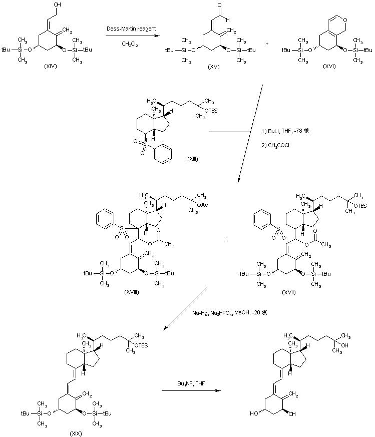
合成路线图解说明:

The oxidation of the ring A precursor alcohol (XIV) with Dess-Martin reagent gave rise to a mixture of aldehyde (XV) and its cyclic tautomer, the pyran derivative (XVI). Coupling of this mixture with the lithium anion of sulfone (XIII), followed by quenching with acetyl chloride, furnished the target beta-acetoxy sulfone adduct (XVII) accompanied by the silyl-acetyl exchange product (XVIII). Reductive cleavage of the phenylsulfonyl group by means of sodium amalgam yielded the desired O-triethylsilyl triene (XIX) along with some O-acetyl byproduct. Finally, desilylation of (XIX) with tetrabutylammonium fluoride provided the title triol derivative, which was separated from its C-25 acetate byproduct by flash chromatography.

Drug Information Express,Drug R&D,Chemical Database,Patent Search.
Copyright © 2006-2026 Drug Future. All rights reserved.Contact Us