【药物名称】
化学结构式(Chemical Structure):
参考文献No.605035
标题:Antimitotic and cell growth inhibitory properties of combrestastatin A-4-like ethers
作者:Lawrence, N.J.; Rennison, D.; Woo, M.; McGown, A.T.; Hadfield, J.A.
来源:Bioorg Med Chem Lett 2001,11(1),51
合成路线图解说明:

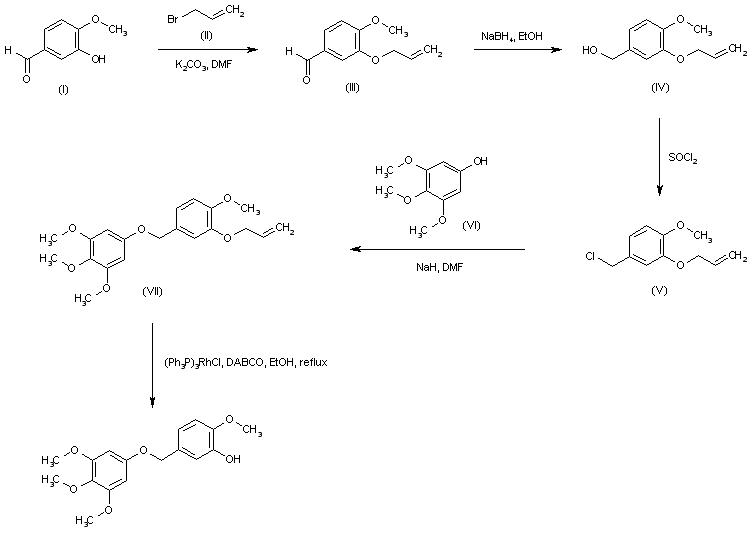
Isovanillin (I) was protected as the allyl ether (III) by treatment with allyl bromide (II) and K2CO3. Aldehyde reduction of (III) with NaBH4 gave alcohol (IV), which was converted to chloride (V) using SOCl2. Condensation of chloride (V) with the sodium salt of 3,4,5-trimethoxyphenol (VI) produced the corresponding ether (VII). Finally, deprotection of the allyl group of (VII) was achieved by treatment with Wilkinson抯 catalyst and DABCO.

Drug Information Express,Drug R&D,Chemical Database,Patent Search.
Copyright © 2006-2026 Drug Future. All rights reserved.Contact Us