【药物名称】KCL-1998001079
化学结构式(Chemical Structure):
参考文献No.46274
标题:Substd. phenylpropionic acid derivs. as agonists to human peroxisome proliferator-activated receptor (PPAR) alpha
作者:Murakami, K.; Takahashi, Y.; Nomura, M.; Miyachi, H.; Ide, T.; Tsunoda, M.; Tanase, T. (Kyorin Pharmaceutical Co., Ltd.)
来源:EP 1184366; JP 2001055367; WO 0075103
合成路线图解说明:

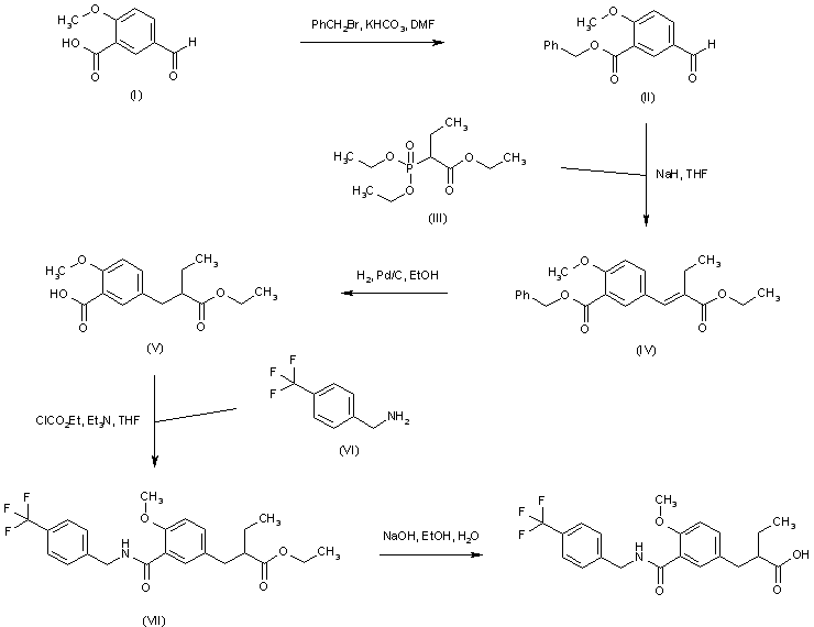
5-Formyl-2-methoxybenzoic acid (I) is converted to the corresponding benzyl ester (II) upon treatment with benzyl bromide and potassium bicarbonate. Subsequent Wadsworth-Emmons condensation between aldehyde (II) and triethyl 2-phosphonobutyrate (III) gives the unsaturated ester (IV). Double bond hydrogenation in (IV) with concomitant hydrogenolysis of the benzyl ester affords acid (V), which is subsequently coupled with 4-(trifluoromethyl)benzyl amine (VI), via the mixed anhydride with ethyl chloroformate, to produce amide (VII). The ethyl ester group of (VII) is finally hydrolyzed to the title carboxylic acid employing NaOH in aqueous ethanol.

参考文献No.650606
标题:Design, synthesis and evaluation of substituted phenylpropanoic acid derivatives as peroxisome proliferator-activated receptor (PPAR) activators: Novel human PPARalpha-selective activators
作者:Miyachi, H.; Nomura, M.; Tanase, T.; Takahashi, Y.; Ide, T.; Tsunoda, M.; Murakami, K.; Awano, K.
来源:Bioorg Med Chem Lett 2002,12(1),77
合成路线图解说明:

5-Formyl-2-methoxybenzoic acid (I) is converted to the corresponding benzyl ester (II) upon treatment with benzyl bromide and potassium bicarbonate. Subsequent Wadsworth-Emmons condensation between aldehyde (II) and triethyl 2-phosphonobutyrate (III) gives the unsaturated ester (IV). Double bond hydrogenation in (IV) with concomitant hydrogenolysis of the benzyl ester affords acid (V), which is subsequently coupled with 4-(trifluoromethyl)benzyl amine (VI), via the mixed anhydride with ethyl chloroformate, to produce amide (VII). The ethyl ester group of (VII) is finally hydrolyzed to the title carboxylic acid employing NaOH in aqueous ethanol.

Drug Information Express,Drug R&D,Chemical Database,Patent Search.
Copyright © 2006-2026 Drug Future. All rights reserved.Contact Us