【药物名称】SB-357134
化学结构式(Chemical Structure):
参考文献No.46801
标题:Novel cpds.
作者:Moss, S.F.; Bromidge, S.M. (SmithKline Beecham plc)
来源:WO 9902502
合成路线图解说明:

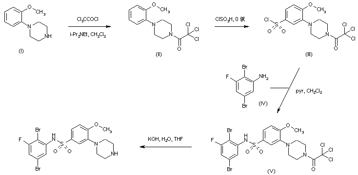
1-(2-Methoxyphenyl)-4-trichloroacetylpiperazine (II), prepared from 1-(2-methoxyphenyl)piperazine (I) and trichloroacetyl chloride, was treated with chlorosulfonic acid to give the sulfonyl chloride (III). Coupling of chloride (III) with 2,5-dibromo-3-fluoroaniline (IV) afforded sulfonamide (IV). Finally, removal of the trichloroacetyl protecting group under basic conditions provided the title piperazine derivative.

参考文献No.605093
标题:Phenyl benzenesulfonamides are novel and selective 5-HT6 antagonists: Identification of N-(2,5-dibromo-3-fluorophenyl)-4-methoxy-3-piperazin-1-ylbenzenesulfonamide (SB-357134)
作者:Bromidge, S.M.; Clarke, S.E.; Gager, T.; Griffith, K.; Jeffrey, P.; Jennings, A.J.; Joiner, G.F.; King, F.D.; Lovell, P.J.; Moss, S.F.; Newman, H.; Riley, G.; Rogers, D.; Routledge, C.; Serafinowska, H.; Smith, D.R.
来源:Bioorg Med Chem Lett 2001,11(1),55
合成路线图解说明:

1-(2-Methoxyphenyl)-4-trichloroacetylpiperazine (II), prepared from 1-(2-methoxyphenyl)piperazine (I) and trichloroacetyl chloride, was treated with chlorosulfonic acid to give the sulfonyl chloride (III). Coupling of chloride (III) with 2,5-dibromo-3-fluoroaniline (IV) afforded sulfonamide (IV). Finally, removal of the trichloroacetyl protecting group under basic conditions provided the title piperazine derivative.

Drug Information Express,Drug R&D,Chemical Database,Patent Search.
Copyright © 2006-2026 Drug Future. All rights reserved.Contact Us