【药物名称】Alamifovir, LY-582563, MCC-478
化学结构式(Chemical Structure):
参考文献No.52052
标题:Phosphonate nucleotide cpds.
作者:Ubasawa, M.; Kamiya, N.; Takashima, H.; Yuasa, S.; Ueda, N.; Sekiya, K. (Mitsubishi Chemical Corp.)
来源:EP 0785208; US 5840716
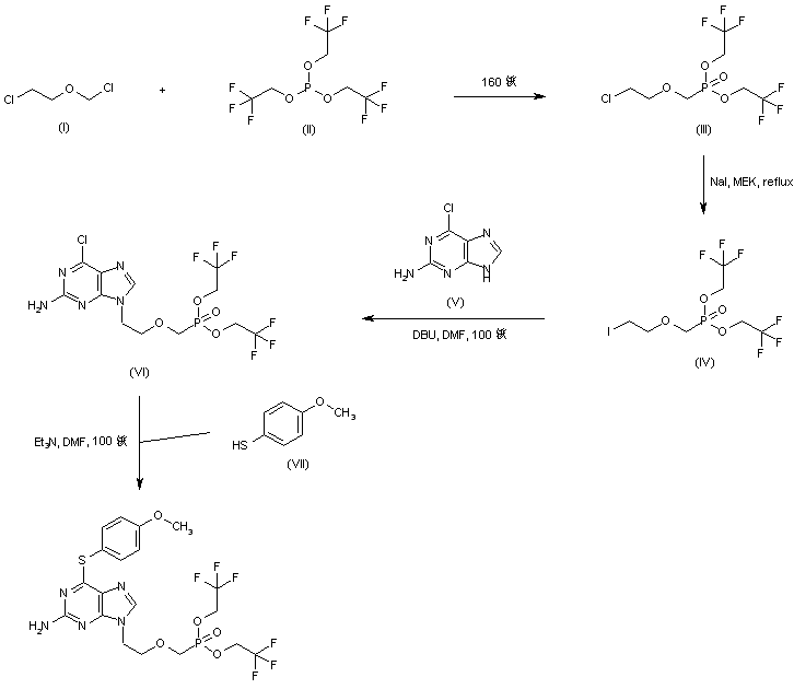
合成路线图解说明:

Phosphonate (III) was prepared by the Michaelis-Arbuzov reaction by heating a mixture of 2-chloroethyl chloromethyl ether (I) and tris(2,2,2-trifluoroethyl)phosphite (II) at 160 C. The chloroethoxy derivative (III) was then converted to the corresponding iodide (IV) by treatment with NaI under Finkelstein reaction conditions. Alkylation of 2-amino-6-chloropurine (V) with iodide (IV) in the presence of DBU furnished the phosphonyl purine (VI). The 6-chloro group of (VI) was finally displaced with p-methoxythiophenol (VII) in hot DMF, yielding the target thioether.

Drug Information Express,Drug R&D,Chemical Database,Patent Search.
Copyright © 2006-2026 Drug Future. All rights reserved.Contact Us