【药物名称】Flubendazole
化学结构式(Chemical Structure):
参考文献No.612866
标题:Flubendazole.
作者:Casta馿r, J.; Bogan, J.A.
来源:Drugs Fut 1978,3(10),739
合成路线图解说明:

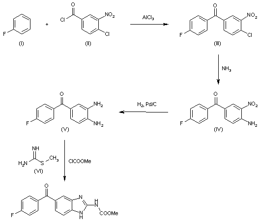
The Friedel Krafts reaction of fluorobenzene (I) and 3-nitro-4-chlorobenzoyl chloride (II) by means of AlCl3 gives 3-nitro-4-chloro-4?fluorobenzophenone (III), which by reaction with NH3 in ethylenglycol at 130 C yields 3-nitro-4-amino-4?fluorobenzophenone (IV). The reduction of (IV) with H2 over Pd/C in methanol affords 3,4-diamino-4?fluorobenzophenone (V), which is finally cyclized with S-methylthiourea (VI) and methyl chloroformate by means of NaOH in water

参考文献No.803947
标题:Crystal structure of the TSP-1 type 1 repeats: A novel layered fold and its biological implication
作者:Tan, K.; Duquette, M.; Liu, J.H.; Dong, Y.; Zhang, R.; Joachimiak, A.; Lawler, J.; Wang, J.H.
来源:Arzneim-Forsch Drug Res 1978,28(4),586
合成路线图解说明:

The Friedel Krafts reaction of fluorobenzene (I) and 3-nitro-4-chlorobenzoyl chloride (II) by means of AlCl3 gives 3-nitro-4-chloro-4?fluorobenzophenone (III), which by reaction with NH3 in ethylenglycol at 130 C yields 3-nitro-4-amino-4?fluorobenzophenone (IV). The reduction of (IV) with H2 over Pd/C in methanol affords 3,4-diamino-4?fluorobenzophenone (V), which is finally cyclized with S-methylthiourea (VI) and methyl chloroformate by means of NaOH in water

参考文献No.900183
标题:
作者:Van Gelder, J.L.H.; et al. (Janssen Pharmaceutica NV)
来源:BE 752089; DE 2029637; FR 2052988; GB 1307306; US 3657267; ZA 7004191
合成路线图解说明:

The Friedel Krafts reaction of fluorobenzene (I) and 3-nitro-4-chlorobenzoyl chloride (II) by means of AlCl3 gives 3-nitro-4-chloro-4?fluorobenzophenone (III), which by reaction with NH3 in ethylenglycol at 130 C yields 3-nitro-4-amino-4?fluorobenzophenone (IV). The reduction of (IV) with H2 over Pd/C in methanol affords 3,4-diamino-4?fluorobenzophenone (V), which is finally cyclized with S-methylthiourea (VI) and methyl chloroformate by means of NaOH in water

Drug Information Express,Drug R&D,Chemical Database,Patent Search.
Copyright © 2006-2026 Drug Future. All rights reserved.Contact Us