【药物名称】A-293620
化学结构式(Chemical Structure):
参考文献No.46176
标题:Cell proliferation inhibitors
作者:Barr, K.J.; Steiner, B.A.; Qun, L.; Rosenberg, S.; Sham, H.; Gwaltney, S.L. II; Imade, H.M.; Woods, K.W. (Abbott Laboratories Inc.)
来源:WO 0073264
合成路线图解说明:

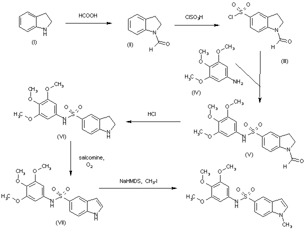
The reaction of indoline (I) with formic acid in refluxing toluene gives N-formylindoline (II), which is treated with chlorosulfonic acid to yield 5-(chlorosulfonyl)indoline-1-carbaldehyde (III). The reaction of (III) with 3,4,5-trimethoxyaniline (IV) and pyridine in THF affords the sulfonamide (V), which is deformylated to sulfonamide (VI) with HCl in methanol. The reaction of indoline (VI) with salcomine and O2 in methanol provides the corresponding indole derivative (VII), which is finally methylated with methyl iodide and NaHMDS in THF to give the target 1-methyl-N-(3,4,5-trimethoxyphenyl)-1H-indole-5-sulfonamide.

合成路线图解说明:

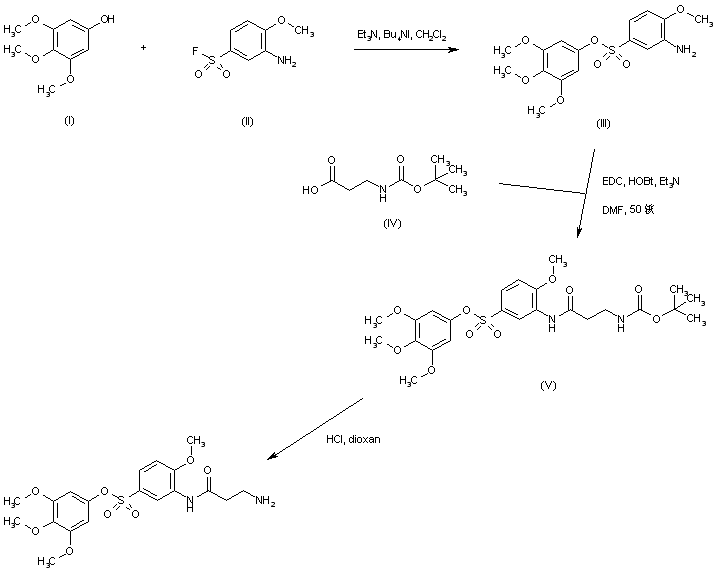
The condensation of 3-aminno-4-phenylsulfonyl fluoride (II) with 3,4,5-trimethoxyphenol (I) in the presence of triethylamine furnished the sulfonate ester (III). The amino group of (III) was then acylated with N-Boc-beta-alanine (IV) using EDC and HOBt to yield amide (V). Finally, acid cleavage of the N-Boc protecting group of (V) provided the title aminopropionamide.

合成路线图解说明:

The reaction of indoline (I) with formic acid in refluxing toluene gives N-formylindoline (II), which is treated with chlorosulfonic acid to yield 5-(chlorosulfonyl)indoline-1-carbaldehyde (III). The reaction of (III) with 3,4,5-trimethoxyaniline (IV) and pyridine in THF affords the sulfonamide (V), which is deformylated to sulfonamide (VI) with HCl in methanol. The reaction of indoline (VI) with salcomine and O2 in methanol provides the corresponding indole derivative (VII), which is methylated with methyl iodide and NaHMDS in THF to give 1-methyl-N-(3,4,5-trimethoxyphenyl)-1H-indole-5-sulfonamide (VIII). Finally, this compound is condensed with N,N-dimethylglycine (IX) by means of DCC and 4-(1-pyrrolidinyl)pyridine (pypyr) in dichloromethane.

参考文献No.661730
标题:Synthesis and biological evaluation of biarylsulfonamides as tubulin polymerization inhibitors. Discovery of A-318315 and A-293620 as orally and intravenously active antimitotic agents
作者:Li, Q.; Woods, K.W.; Steiner, A.; et al.
来源:Proc Am Assoc Cancer Res 2002,43Abst 1313
合成路线图解说明:

The reaction of indoline (I) with formic acid in refluxing toluene gives N-formylindoline (II), which is treated with chlorosulfonic acid to yield 5-(chlorosulfonyl)indoline-1-carbaldehyde (III). The reaction of (III) with 3,4,5-trimethoxyaniline (IV) and pyridine in THF affords the sulfonamide (V), which is deformylated to sulfonamide (VI) with HCl in methanol. The reaction of indoline (VI) with salcomine and O2 in methanol provides the corresponding indole derivative (VII), which is finally methylated with methyl iodide and NaHMDS in THF to give the target 1-methyl-N-(3,4,5-trimethoxyphenyl)-1H-indole-5-sulfonamide.

合成路线图解说明:

The reaction of indoline (I) with formic acid in refluxing toluene gives N-formylindoline (II), which is treated with chlorosulfonic acid to yield 5-(chlorosulfonyl)indoline-1-carbaldehyde (III). The reaction of (III) with 3,4,5-trimethoxyaniline (IV) and pyridine in THF affords the sulfonamide (V), which is deformylated to sulfonamide (VI) with HCl in methanol. The reaction of indoline (VI) with salcomine and O2 in methanol provides the corresponding indole derivative (VII), which is methylated with methyl iodide and NaHMDS in THF to give 1-methyl-N-(3,4,5-trimethoxyphenyl)-1H-indole-5-sulfonamide (VIII). Finally, this compound is condensed with N,N-dimethylglycine (IX) by means of DCC and 4-(1-pyrrolidinyl)pyridine (pypyr) in dichloromethane.

Drug Information Express,Drug R&D,Chemical Database,Patent Search.
Copyright © 2006-2026 Drug Future. All rights reserved.Contact Us