【药物名称】Xyz-033mp
化学结构式(Chemical Structure):
参考文献No.48370
标题:Caspase inhibitor
作者:Chung, H.-H.; Park, M.-J.; Min, C.-H.; Kang, C.-Y.; Park, T.-K.; Chang, H.-K.; Lee, T.-H.; Moon, K.-Y.; Kim, E.E.-K.; Oh, Y.-L.; Kim, Y.-M. (LG Chem Ltd.)
来源:WO 0121599; WO 0121600
合成路线图解说明:

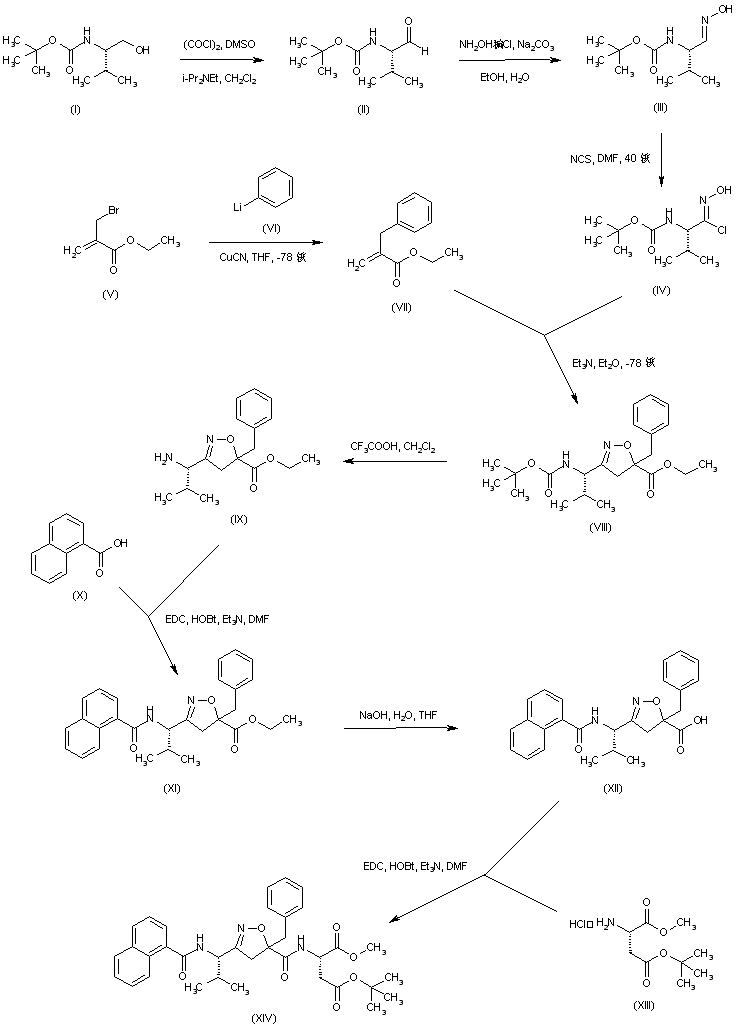
Swern oxidation of N-Boc-S-valinol (I) provided aldehyde (II). After conversion of (II) to the corresponding oxime (III) upon treatment with hydroxylamine, chlorination with N-chlorosuccinimide gave the hydroximinoyl chloride (IV). Reaction of ethyl 2-(bromomethyl)acrylate (V) with phenyllithium (VI) in the presence of CuCN produced ethyl 2-benzylacrylate (VII). The dipolar cycloaddition of the nitrile oxide generated from (IV) to acrylate (VII) furnished the isoxazoline (VIII) as a diastereomeric mixture. The N-Boc protecting group of (VIII) was then cleaved with trifluoroacetic acid to give amine (IX), which was coupled with 2-naphthoic acid (X), yielding amide (XI). The carboxylic acid (XII), resulting from the basic hydrolysis of ethyl ester (XI), was then coupled with the glutamate ester (XIII) to give (XIV).

合成路线图解说明:

The methyl ester group of (XIV) was then hydrolyzed with NaOH, and the resulting carboxylic acid (XV) was activated as the mixed anhydride (XVI) with isobutyl chloroformate. Addition of diazomethane to anhydride (XVI) followed by treatment of the intermediate diazo ketone with HBr gave the bromo ketone (XVII). The bromide group of (XVII) was then displaced with 2,6-dichlorobenzoic acid (XVIII) to produce the dichlorobenzoate ester (XIX). The tert-butyl ester group of (XIX) was finally cleaved by treatment with trifluoroacetic acid.

Drug Information Express,Drug R&D,Chemical Database,Patent Search.
Copyright © 2006-2026 Drug Future. All rights reserved.Contact Us