【药物名称】
化学结构式(Chemical Structure):
参考文献No.604018
标题:Synthesis and biological evaluation of highly potent analogues of epothilones B and D
作者:Altmann, K.-H.; Bold, G.; Caravatti, G.; Florsheimer, A.; Guagnano, V.; Wartmann, M.
来源:Bioorg Med Chem Lett 2000,10(24),2765
合成路线图解说明:

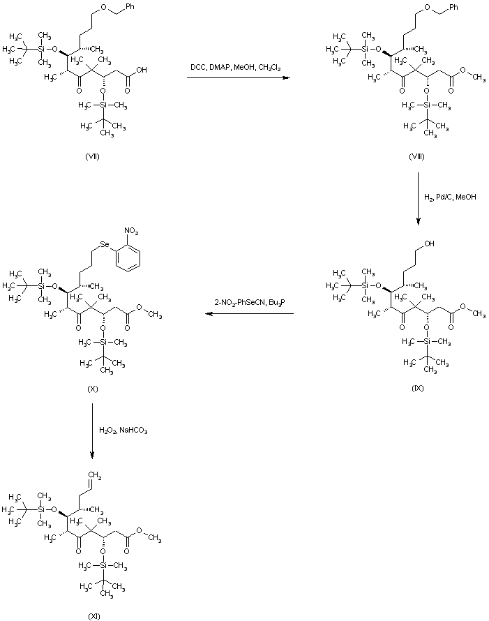
The intermediate olefin (XI) was prepared as follows. The diastereoselective aldol condensation between aldehyde (I) and ketone (II) provided the desired aldol diastereoisomer (III). Acetonide hydrolysis in (III) by means of pyridinium tosylate in MeOH, followed by protection of the resultant triol with tert-butyl-dimethylsilyl triflate, gave the tris-silyl ether (IV). The primary hydroxyl group of (IV) was then selectively deprotected by treatment with camphorsulfonic acid, yielding alcohol (V). Swern oxidation of (V) produced aldehyde (VI), which was further oxidized to carboxylic acid (VII) by means of sodium chlorite.

合成路线图解说明:

Acid (VII) was converted to methyl ester (VIII) using DCC in MeOH. Subsequent removal of the O-benzyl protecting group of (VIII) by hydrogenolysis over Pd/C gave alcohol (IX). Treatment of (IX) with 2-nitrophenyl selenocyanate and tributylphosphine generated the selenide (X). Oxidation of (X) to the corresponding selenoxide, which underwent spontaneous elimination, furnished olefin (XI).

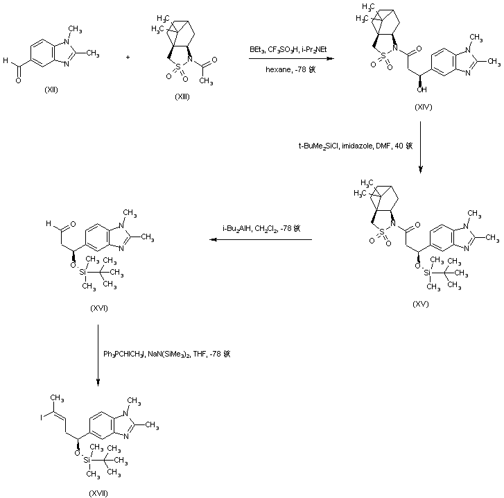
合成路线图解说明:

Aldol reaction between the chiral N-acetyl sultam (XIII) and aldehyde (XII) produced diastereoselectively aldol (XIV), which was further protected as the silyl ether (XV). Then, reductive cleavage of the chiral auxiliary group of (XV) using DIBAL in cold CH2Cl2 gave aldehyde (XVI). Wittig olefination of (XVI) with 1-iodoethylidene triphenylphosphorane afforded the vinyl iodide (XVII).

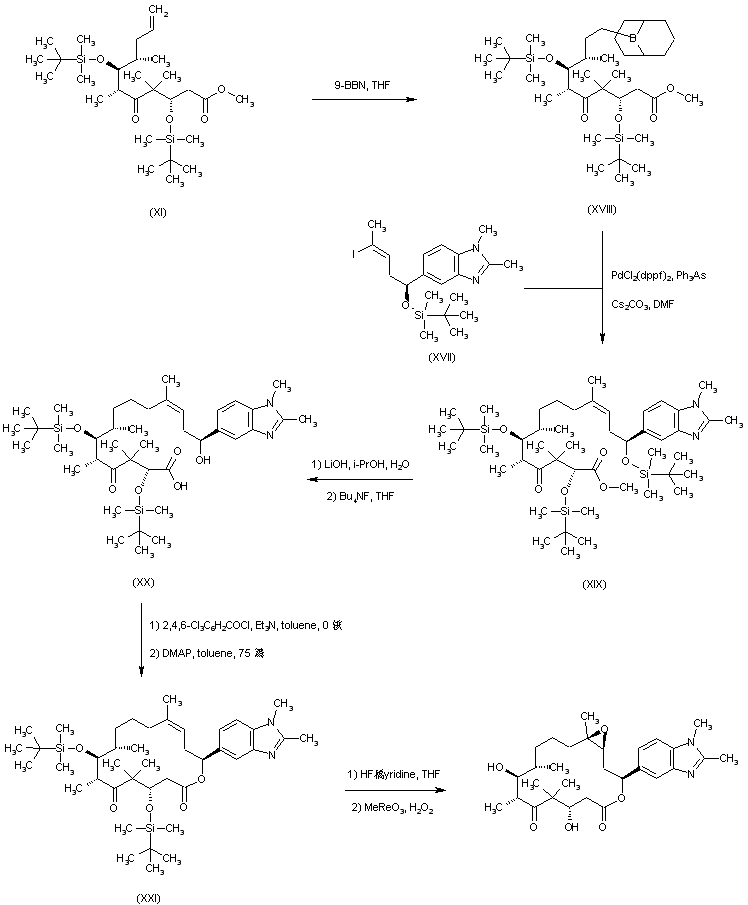
合成路线图解说明:

Olefin (XI) was converted to borane (XVIII) by reaction with 9-borabicyclononane. Alkyl-Suzuki coupling between borane (XVIII) and vinyl iodide (XVII) provided the fully protected seco-acid (XIX). Ester saponification, followed by selective deprotection of the 15-hydroxyl group of (XIX) with tetrabutylammonium fluoride gave the free seco-acid (XX), which under Yamaguchi conditions cyclized to the protected macrolactone (XXI). Finally, removal of the silyl protecting groups of (XXI) with HF穚yridine, followed by epoxidation of the olefinic double bond with MeReO3/H2O2, gave rise to the title compound.

Drug Information Express,Drug R&D,Chemical Database,Patent Search.
Copyright © 2006-2026 Drug Future. All rights reserved.Contact Us