【药物名称】
化学结构式(Chemical Structure):
参考文献No.603917
标题:Synthesis and antibacterial activities of novel C(3)-aminopyrimidinyl substituted cephalosporins
作者:Lee, C.-S.; Oh, S.H.; Ryu, E.J.; Kim, M.Y.; Paek, K.S.
来源:J Antibiot 2000,53(11),1305
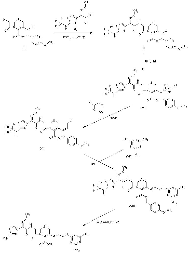
合成路线图解说明:

Coupling of carboxylic acid (II) to the 7-aminocephem derivative (I) using POCl3 and pyridine produced the corresponding amide (III). Displacement of the chloro group of (III) with triphenyl phosphine furnished the phosphonium salt (IV), which was subjected to a Wittig reaction with chloroacetaldehyde (V), yielding the Z-propenyl chloride (VI). Subsequent reaction of allyl chloride (VI) with 4-amino-2-mercapto-6-methylpyrimidine (VII) in the presence of NaI produced the E-propenyl sulfide (VIII). The N-trityl group and the p-methoxybenzyl ester of (VIII) were finally cleaved by treatment with trifluoroacetic acid in anisole to furnish the title compound.

Drug Information Express,Drug R&D,Chemical Database,Patent Search.
Copyright © 2006-2026 Drug Future. All rights reserved.Contact Us