【药物名称】NNC-63-0532
化学结构式(Chemical Structure):
参考文献No.41281
标题:Novel 1,3,8-triazaspiro[4.5]decanones with high affinity for opioid receptor subtypes
作者:Watson, B.; Thomsen, C.; Hohlweg, R. (Novo Nordisk A/S)
来源:EP 1080091; WO 9959997
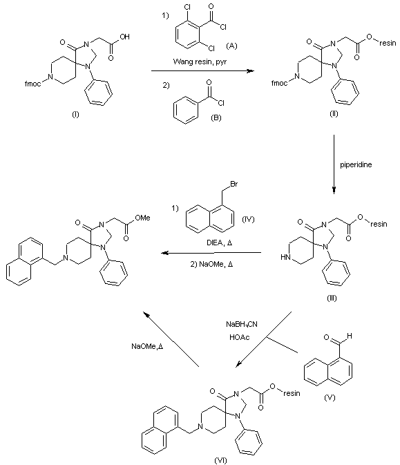
合成路线图解说明:

Solid phase synthesis: Attachment of 8-Fmoc-3-carboxymethyl-1-phenyl-1,3,8-triazaspiro[4.5]decan-4-one (I) to Wang resin by means of 2,6-dichlorobenzoyl chloride (A) in DMF in the presence of pyridine, followed by treatment with benzoyl chloride (B) in dichloromethane in the presence of pyridine, provides resin-anchored derivative (II). Treatment of resin (II) with piperidine in DMF allows Fmoc removal to yield deprotected piperidine derivative (III), which is then converted into the target compound by alkylation with 1-(bromomethyl)naphthalene (IV) by heating in DMSO in the presence of DIEA, followed by cleavage of the molecule from the resin by heating with NaOMe in THF/MeOH. Alternatively, the conversion of (III) into the desired compound can be achieved by reductive amination between resin (III) and aldehyde (V) by means of NaBH3CN in THF in the presence of HOAc to afford anchored derivative (VI), followed by cleavage from the resin by heating with NaOMe in THF/MeOH.

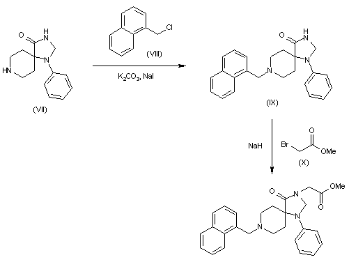
合成路线图解说明:

Solution synthesis: In this case the target product is obtained by alkylation of 1-phenyl-1,3,8-triaza-spiro[4.5]decan-4-one (VII) with 1-(chloromethyl)naphthalene (VIII) by means of K2CO3 and NaI in refluxing 2-butanone, followed by acylation with methyl bromoacetate (X) in DMF by means of NaH.

Drug Information Express,Drug R&D,Chemical Database,Patent Search.
Copyright © 2006-2026 Drug Future. All rights reserved.Contact Us