【药物名称】GW-8510
化学结构式(Chemical Structure):
参考文献No.38905
标题:Substd. oxindole derivs. as protein tyrosine kinase and as protein serine/threonine kinase inhibitors
作者:Frye, S.V.; Davis, S.T.; Lackey, K.E.; Dickerson, S.H.; Luzzio, M.J.; Kuyper, L.F.; Veal, J.M.; Hunter, R.N. III; Walker, D.H.; Harris, P.A. (Glaxo Group Ltd.)
来源:EP 1009738; WO 9915500
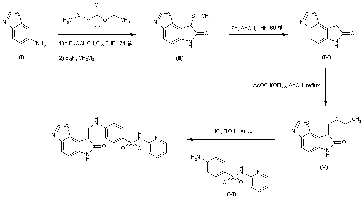
合成路线图解说明:

The condensation of 6-aminobenzothiazole (I) with ethyl 2-(methylsulfanyl)acetate (II) in the presence of tert-butyl hypochlorite produced the oxindole derivative (III). The methylsulfanyl group was then reductively removed using zinc in acetic acid to afford (IV). Reaction of (IV) with diethoxymethyl acetate in refluxing HOAc furnished the ethoxymethylene derivative (V). This was finally condensed with sulfapyridine (VI) to give the title compound.

Drug Information Express,Drug R&D,Chemical Database,Patent Search.
Copyright © 2006-2026 Drug Future. All rights reserved.Contact Us