【药物名称】Gadomelitol, P-792, Vistarem
化学结构式(Chemical Structure):
参考文献No.46079
标题:Gadolinium complex tetramides and use in medical imaging
作者:Rousseaux, O.; Simonot, C. (Guerbet SA)
来源:EP 1178975; FR 2793795; WO 0071526
合成路线图解说明:

Alkylation of tetraazacyclodecane (I) with ethyl 2-bromobutyrate (II) afforded the tetrasubstituted macrocycle (III) as a mixture of diastereoisomers. Subsequent hydrolysis of the ethyl ester groups of (III) using ethanolic NaOH gave the octacarboxylic acid (IV). Complexation of (IV) with either Gd2O3 or GdCl3 and NaOH generated the corresponding gadolinium chelate. The mixture of diastereoisomeric chelates was then isomerized under acidic conditions to furnish the racemic pair of R,R,R,R and S,S,S,S isomers (V).

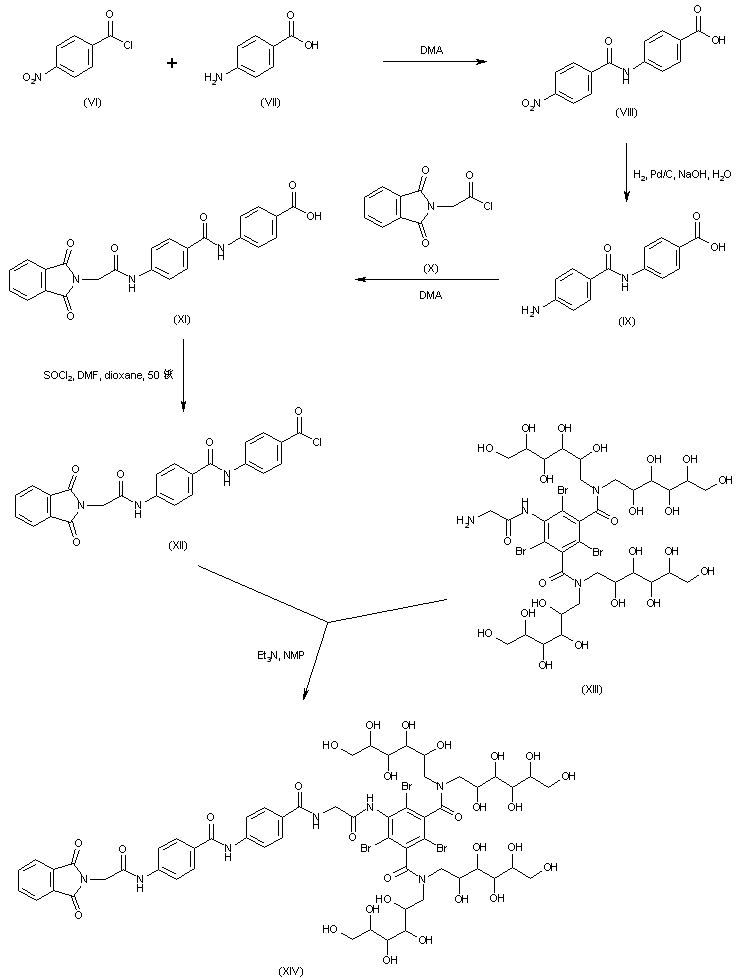
合成路线图解说明:

Coupling between 4-nitrobenzoyl chloride (VI) and 4-aminobenzoic acid (VII) afforded nitrobenzamide (VIII), which was further reduced to amine (IX) by catalytic hydrogenation over Pd/C. Acylation of (IX) with phthalimidoacetyl chloride (X) yielded diamide (XI). The carboxyl group of (XI) was then activated as the corresponding acid chloride (XII) by treatment with SOCl2. Then, condensation of the glycylamide derivative (XIII) with acid chloride (XII) furnished amide (XIV).

合成路线图解说明:

Deprotection of the phthaloyl group of (XIV) by hydrazinolysis provided amine (XV). This was then coupled with the octaacid gadolinium chelate (V) in the presence of EDC and HOBt leading to the target amide.

参考文献No.690816
标题:P792: A rapid clearance blood pool agent for magnetic resonance imaging: Preliminary results
作者:Port, M.; et al.
来源:MAGMA Magn Reson Mater Phys Biol Med 2001,12(2-3),121
合成路线图解说明:

Alkylation of tetraazacyclodecane (I) with ethyl 2-bromobutyrate (II) afforded the tetrasubstituted macrocycle (III) as a mixture of diastereoisomers. Subsequent hydrolysis of the ethyl ester groups of (III) using ethanolic NaOH gave the octacarboxylic acid (IV). Complexation of (IV) with either Gd2O3 or GdCl3 and NaOH generated the corresponding gadolinium chelate. The mixture of diastereoisomeric chelates was then isomerized under acidic conditions to furnish the racemic pair of R,R,R,R and S,S,S,S isomers (V).

合成路线图解说明:

Deprotection of the phthaloyl group of (XIV) by hydrazinolysis provided amine (XV). This was then coupled with the octaacid gadolinium chelate (V) in the presence of EDC and HOBt leading to the target amide.

合成路线图解说明:

In a related synthetic route, the glycinamide derivative (XV) was coupled to acid (IV), and the resultant macrocyclic tetramide was subsequently complexed with GdCl3 to form the title gadolinium chelate.

Drug Information Express,Drug R&D,Chemical Database,Patent Search.
Copyright © 2006-2026 Drug Future. All rights reserved.Contact Us