【药物名称】TU-572
化学结构式(Chemical Structure):
参考文献No.603417
标题:Synthesis and characterization of a potent selective protein tyrosine phosphatase inhibitor, 2-[(4-methylthiopyridin-2-yl)methylsulfinyl]benzimidazole
作者:Hamaguchi, T.; Takahisha, A.; Kagamizono, T.; Manaka, A.; Sato, M.; Osada, H.
来源:Bioorg Med Chem Lett 2000,10(23),2657
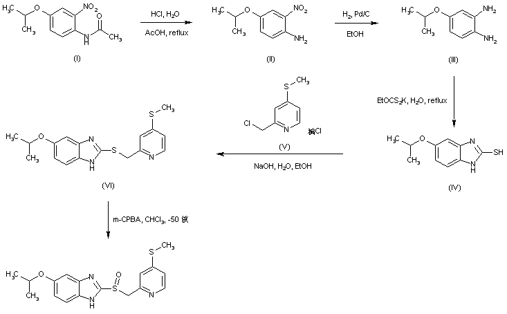
合成路线图解说明:

Acid hydrolysis of acetanilide (I) provided nitro aniline (II), which was further reduced to diamine (III) by catalytic hydrogenation over Pd/C. The 2-mercapto benzimidazole (IV) was then synthesized by condensation of phenylenediamine (III) with potassium ethyl xanthate. Alkylation of (IV) with the chloromethyl pyridine (V) produced the corresponding thioether adduct (VI). Finally, selective oxidation of the benzimidazolyl sulfur atom of (I) using m-chloroperbenzoic acid gave rise to the title sulfoxide.

Drug Information Express,Drug R&D,Chemical Database,Patent Search.
Copyright © 2006-2026 Drug Future. All rights reserved.Contact Us