【药物名称】KF-38789
化学结构式(Chemical Structure):
参考文献No.51813
标题:Substd. 1,4-thiazepine and analogs as activators of caspases and inducers of apoptosis and the use thereof
作者:Cai, S.X.; Spencer, J.R.; Litvak, J.; Drewe, J.A.; Shelton, E.J.; Sperandio, D. (Cytovia, Inc.)
来源:WO 0179187
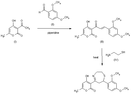
合成路线图解说明:

The condensation of 3-acetyl-4-hydroxy-6-methyl-2H-pyran-2-one (I) with 2,4-dimethoxybenzaldehyde (II) by means of piperidine in refluxing ethanol gives the acryloyl derivative (III), which is finally cyclized with 2-aminoethanethiol (IV) in refluxing ethanol to afford the target thiazepine derivative.

Drug Information Express,Drug R&D,Chemical Database,Patent Search.
Copyright © 2006-2026 Drug Future. All rights reserved.Contact Us