【药物名称】Calothrixin B
化学结构式(Chemical Structure):
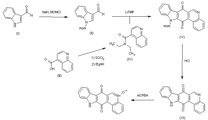
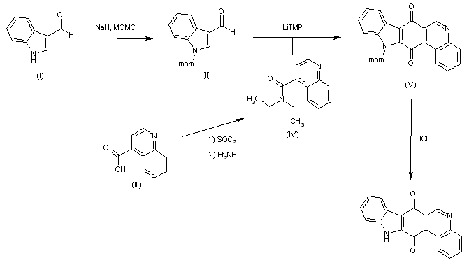
参考文献No.603181
标题:Synthesis of the potent antimalarials calothrixin A and B
作者:Kelly, T.R.; Zhao, Y.; Cavero, M.; Torneiro, M.
来源:Org Lett 2000,2(23),3735
合成路线图解说明:

N-Protection of indole derivative (I) with methoxymethyl chloride (MOM-Cl) by means of NaH in THF provides aldehyde (II), which is converted into protected indolo-phenanthridine dione derivative (V) by coupling with quinoline (IV) by means of lithium tetramethylpiperidide (LiTMP) in THF (in turn, (IV) can be prepared from carboxylic acid (III) by treatment with thionyl chloride (SOCl2) and diethylamine (Et2NH)). Finally, the target compound is obtained by removal of the MOM group of (V) by treatment with aqueous HCl.

合成路线图解说明:

N-Protection of indole derivative (I) with methoxymethyl chloride (MOM-Cl) by means of NaH in THF provides aldehyde (II), which is converted into protected indolo-phenanthridine dione derivative (V) by coupling with quinoline (IV) by means of lithium tetramethylpiperidide (LiTMP) in THF (in turn, (IV) can be prepared from carboxylic acid (III) by treatment with thionyl chloride (SOCl2) and diethylamine (Et2NH)). Finally, the target compound is obtained by removal of the MOM group of (V) by treatment with aqueous HCl, followed by selective oxidation of the pyridine nitrogen by means of m-CPBA.

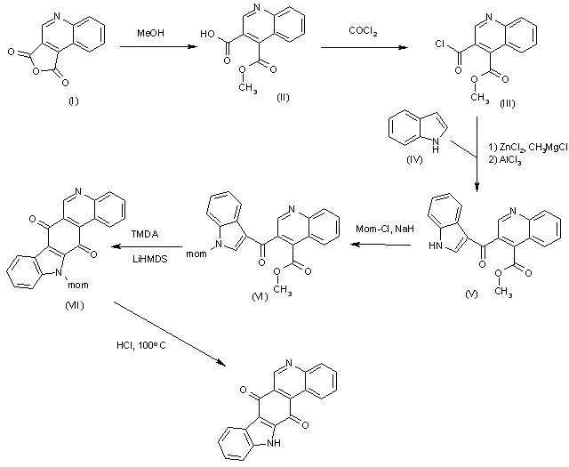
参考文献No.677028
标题:A simple and concise route to calothrixin B
作者:Bernardo, P.H.; et al.
来源:Tetrahedron Lett 2002,43(16),2939
合成路线图解说明:

The methanolysis of anhydride (I) with dry refluxing methanol gives the monoester (II), which is treated with COCl2 to yield the acyl chloride (III). The condensation of (III) with indole (IV) by means of ZnCl2/MeMgCl and AlCl3 affords the adduct (V), which is N protected by means of Mom-Cl and NaH in THF to provide the intermediate (VI). The cyclization of (VI) by means of Temda and LiHMDS in THF gives the tetracyclic quinone (VII), which is finally deprotected with hot aq. HCl to provide the target Calothrixin B.

Drug Information Express,Drug R&D,Chemical Database,Patent Search.
Copyright © 2006-2026 Drug Future. All rights reserved.Contact Us