【药物名称】ZK-230211
化学结构式(Chemical Structure):
参考文献No.46613
标题:Antigestagenic steroids with a fluorinated 17alpha-alkyl chain
作者:Schneider, M.; Cleve, A.; Neef, G.; Schwede, W.; Fuhrmann, U.; Chwalisz, K.; Hess-Stumpp, H.; Klar, U. (Schering AG)
来源:DE 19706061; JP 2001510479; WO 9834947
合成路线图解说明:

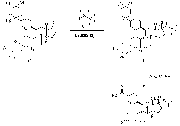
Addition of the organolithium reagent generated from 1,1,1,2,2-pentafluoro-2-iodoethane (II) and MeLi稬iBr complex to the known ketone (I) furnished the pentafluoroethyl carbinol (III). Acid treatment of (III) with H2SO4 in methanol then removed both acetal protecting groups with concomitant dehydration of the 5-hydroxyl group to yield the title compound.

参考文献No.602689
标题:Synthesis and biological activity of a novel, highly potent progresterone receptor antagonist
作者:Furhmann, U.; Hess-Stumpp, H.; Cleve, A.; Neef, G.; Schwede, W.; Hoffmann, J.; Fritzemeier, K.-H.; Chwalisz, K.
来源:J Med Chem 2000,43(26),5010
合成路线图解说明:

Addition of the organolithium reagent generated from 1,1,1,2,2-pentafluoro-2-iodoethane (II) and MeLi稬iBr complex to the known ketone (I) furnished the pentafluoroethyl carbinol (III). Acid treatment of (III) with H2SO4 in methanol then removed both acetal protecting groups with concomitant dehydration of the 5-hydroxyl group to yield the title compound.

Drug Information Express,Drug R&D,Chemical Database,Patent Search.
Copyright © 2006-2026 Drug Future. All rights reserved.Contact Us