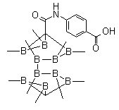
【药物名称】BR-630
化学结构式(Chemical Structure):
参考文献No.613063
标题:Polymethylcarborane as a novel biactive moiety: Derivatives with potent retinoid antagonistic activity
作者:Endo, Y.; Yaguchi, K.; Kawachi, E.; Kagechika, H.
来源:Bioorg Med Chem Lett 2000,10(15),1733
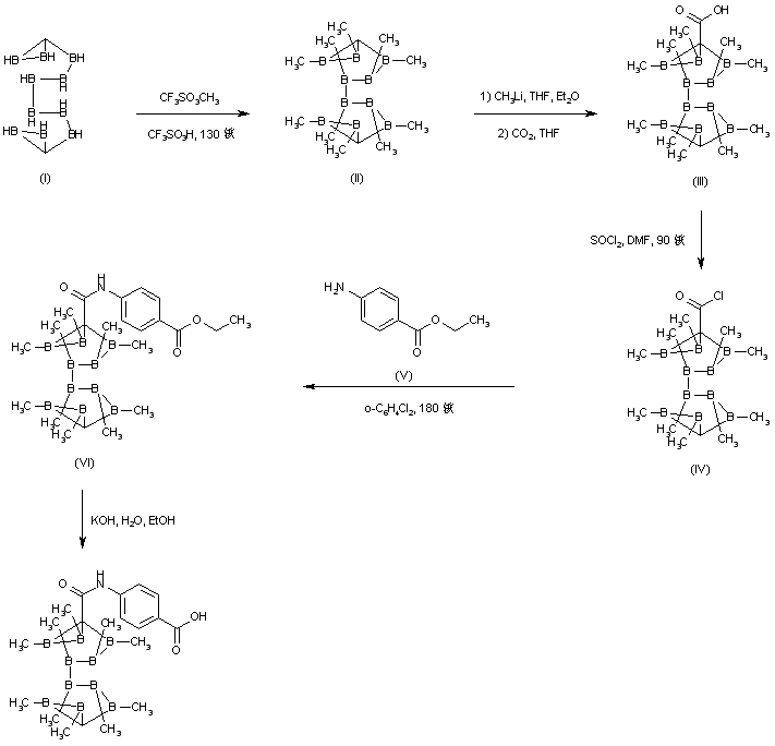
合成路线图解说明:

Methylation of 1,12-dicarba-closo-dodecaborane (I) with methyl triflate at 130 C in a sealed vessel afforded the decamethyl borane (II). Lithiation of (II) with methyllithium and subsequent quenching with CO2 produced the carboxylic acid (III), which was further converted to the corresponding acid chloride (IV) by treatment with SOCl2. Condensation of acid chloride (IV) with ethyl 4-aminobenzoate (V) in o-dichlorobenzene at 180 C gave amide (VI). Finally, basic hydrolysis of the ethyl ester group of (VI) furnished the title carboxylic acid.

参考文献No.626304
标题:Functionalization of polymethylcarboranes. Preparation and reactivity of 2,3,4,5,6,7,8,9,10,11-decamethyl-1,12-dicarba-closo-dodecaborane(12)-1-carboxylic acid
作者:Endo, Y.; et al.
来源:Chem Pharm Bull 1999,47(5),699
合成路线图解说明:

Methylation of 1,12-dicarba-closo-dodecaborane (I) with methyl triflate at 130 C in a sealed vessel afforded the decamethyl borane (II). Lithiation of (II) with methyllithium and subsequent quenching with CO2 produced the carboxylic acid (III), which was further converted to the corresponding acid chloride (IV) by treatment with SOCl2. Condensation of acid chloride (IV) with ethyl 4-aminobenzoate (V) in o-dichlorobenzene at 180 C gave amide (VI). Finally, basic hydrolysis of the ethyl ester group of (VI) furnished the title carboxylic acid.

Drug Information Express,Drug R&D,Chemical Database,Patent Search.
Copyright © 2006-2026 Drug Future. All rights reserved.Contact Us