【药物名称】ER-41114
化学结构式(Chemical Structure):
参考文献No.37474
标题:1,4-Substd. cyclic amine derivs.
作者:Kimura, T.; Takahashi, K.; Matsunaga, M.; Kawano, K.; Kubota, A.; Kitazawa, N.; Okabe, T.; Ueno, K.; Komatsu, M.; Sasaki, A. (Eisai Co., Ltd.)
来源:EP 0976732; WO 9843956
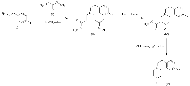
合成路线图解说明:

Addition of methyl acrylate (II) to 4-fluorophenethylamine (I) afforded diester (III). Dieckmann cyclization of (III) gave the carbomethoxy piperidone (IV), which was decarbomethoxylated to (V) under acidic conditions.

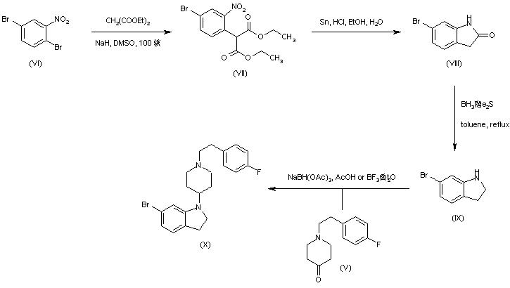
合成路线图解说明:

Condensation of 2,5-dibromonitrobenzene (VI) with diethyl malonate gave aryl malonate (VII). Reductive cyclization of (VII) in the presence of tin and HCl produced 6-bromooxindole (VIII), which was further reduced to indoline (IX) using borane-dimethyl sulfide complex (1). Reductive alkylation of indoline (IX) with piperidone (V) by means of sodium triacetoxyborohydride furnished the piperidinyl indoline (X).

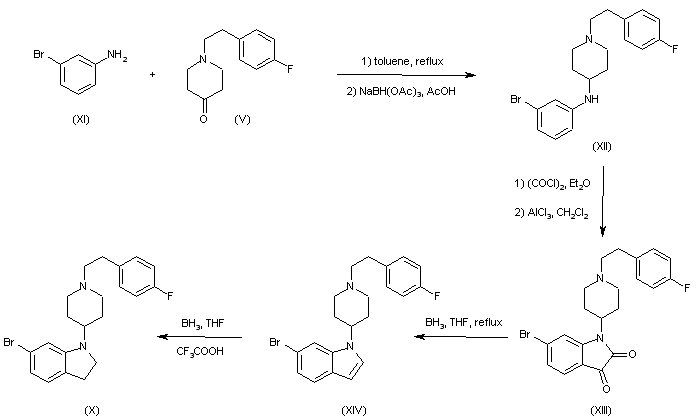
合成路线图解说明:

In an alternative method, 3-bromoaniline (XI) was reductively condensed with piperidone (V) to afford the anilino piperidine (XII). Condensation of (XII) with oxalyl chloride, followed by Friedel-Crafts cyclization, gave rise to the N-piperidinyl isatin (XIII). This was sequentially reduced to indole (XIV) with borane in THF, and then to indoline (X) using borane and trifluoroacetic acid.

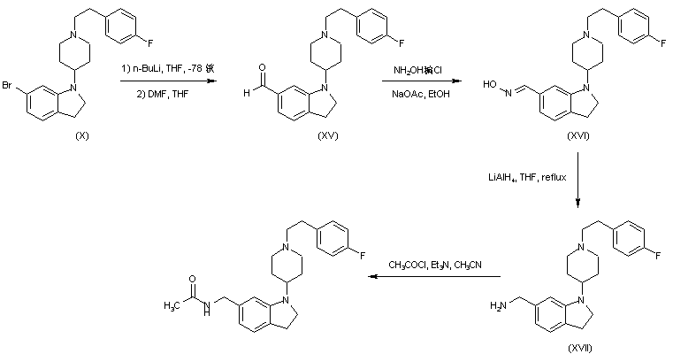
合成路线图解说明:

Introduction of a formyl group into indoline (X) was carried out via lithiation with n-butyllithium, followed by treatment with dimethylformamide. The resulting aldehyde (XV) was converted to oxime (XVI), which was subsequently reduced to amine (XVII) using LiAlH4. Finally, acylation of amine (XVII) with acetyl chloride produced the title amide.

合成路线图解说明:

Condensation of 2,5-dibromonitrobenzene (I) with diethyl malonate gave aryl malonate (II). Reductive cyclization of (II) in the presence of tin and HCl produced 6-bromooxindole (III), which was further reduced to indoline (IV) using borane-dimethyl sulfide complex. Reductive alkylation of indoline (IV) with piperidone (V) by means of sodium triacetoxyborohydride furnished the piperidinyl indoline (VI). Introduction of a formyl group into indoline (VI) was carried out via lithiation with n-butyllithium, followed by treatment with dimethylformamide. The resulting aldehyde (VII) was reduced to alcohol (VIII) using NaBH4. Conversion to the corresponding chloride by treatment with HCl, followed by reaction with NaCN, furnished nitrile (IX). Hydrolysis of nitrile (IX) with aqueous H2SO4 gave carboxylic acid (X), which, after activation with carbonyldiimidazole, was coupled with methylamine to yield amide (XI). Finally, indoline (XI) was oxidized to the title indole with MnO2 in CHCl3. Alternatively, Stille coupling of bromoindoline (VI) with ethyl tributylstannylacetate gave indolineacetate (XII), which was further oxidized to indole (XIII) with MnO2. Saponification of the ester group of (XIII), followed by condensation with methylamine furnished the title compound.

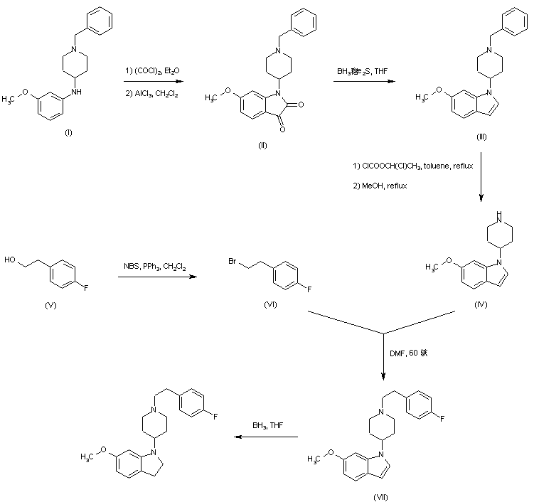
合成路线图解说明:

Condensation of 1-benzyl-4-(3-methoxyphenyl)aminopiperidine (I) with oxalyl chloride, followed by Friedel-Crafts cyclization in the presence of AlCl3, furnished the isatin (II), which was reduced to indole (III) by means of borane-dimethyl sulfide complex. Removal of the N-benzyl protecting group of (III) to afford piperidine (IV) was achieved by treatment with chloroethyl chloroformate, followed by methanolysis of the intermediate chloroethyl carbamate. 4-Fluorophenethyl bromide (VI) was prepared from the corresponding alcohol (V) by means of the reagent generated from N-bromosuccinimide and triphenyl phosphine. Piperidine (IV) was then condensed with bromide (VI) to provide adduct (VII). Finally, the indole ring of (VII) was reduced to the required indoline using borane in THF.

Drug Information Express,Drug R&D,Chemical Database,Patent Search.
Copyright © 2006-2026 Drug Future. All rights reserved.Contact Us