【药物名称】T-162559, T-559
化学结构式(Chemical Structure):
参考文献No.40358
标题:Aminoguanidine hydrazone derivs., process for producing the same and drugs thereof
作者:Shiraishi, M.; Fukumoto, S.; Kusumoto, K. (Takeda Chemical Industries, Ltd.)
来源:EP 1057812; JP 2000191641; WO 9942442
合成路线图解说明:

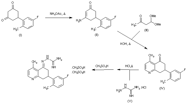
Amination of cyclohexanedione derivative (I) with ammonium acetate in refluxing ethanol affords compound (II), which is converted into tetrahydroquinolinone derivative (IV) by condensation with 3-oxobutylaldehyde dimethylacetal (III) and cyclization by means of KOH in refluxing EtOH. The desired compound is finally obtained by first reaction of ketone (IV) with aminoguanidine hydrochloride (V) in refluxing EtOH/HCl, followed by formation of the corresponding dimethanesulfonate salt by treatment with methanesulfonic acid.

参考文献No.601185
标题:Novel, non-acylguanidine type Na+/H+ exchanger inhibitors: Synthesis and biological evaluation of tetrahydroquinolinylidene aminoguanidine derivatives
作者:Imamiya, E.; Fujiwara, S.; Watanabe, T.; Shiraishi, M.; Fukumoto, S.; Kusumoto, K.
来源:20th Symp Med Chem (Dec 6 2000, Tokyo) 2000,Abst 2P-02
合成路线图解说明:

Amination of cyclohexanedione derivative (I) with ammonium acetate in refluxing ethanol affords compound (II), which is converted into tetrahydroquinolinone derivative (IV) by condensation with 3-oxobutylaldehyde dimethylacetal (III) and cyclization by means of KOH in refluxing EtOH. The desired compound is finally obtained by first reaction of ketone (IV) with aminoguanidine hydrochloride (V) in refluxing EtOH/HCl, followed by formation of the corresponding dimethanesulfonate salt by treatment with methanesulfonic acid.

参考文献No.677934
标题:Novel, non-acylguanidine-type Na+/H+ exchanger inhibitors: Synthesis and pharmacology of 5-tetrahydroquinolinylidene aminoguanidine derivatives
作者:Fukumoto, S.; Imamiya, E.; Kusumoto, K.; Fujiwara, S.; Watanabe, T.; Shiraishi, M.
来源:J Med Chem 2002,45(14),3009
合成路线图解说明:

Amination of cyclohexanedione derivative (I) with ammonium acetate in refluxing ethanol affords compound (II), which is converted into tetrahydroquinolinone derivative (IV) by condensation with 3-oxobutylaldehyde dimethylacetal (III) and cyclization by means of KOH in refluxing EtOH. The desired compound is finally obtained by first reaction of ketone (IV) with aminoguanidine hydrochloride (V) in refluxing EtOH/HCl, followed by formation of the corresponding dimethanesulfonate salt by treatment with methanesulfonic acid.

Drug Information Express,Drug R&D,Chemical Database,Patent Search.
Copyright © 2006-2026 Drug Future. All rights reserved.Contact Us