【药物名称】LY-367265
化学结构式(Chemical Structure):
参考文献No.37105
标题:Substd. 4-(6-fluoro-(1H)-indol-3-yl)-1,2,3,6-tetrahydropyridine for the treatment of CNS-disorders
作者:Fairhurst, J. (Eli Lilly and Company)
来源:EP 0854146; WO 9831686
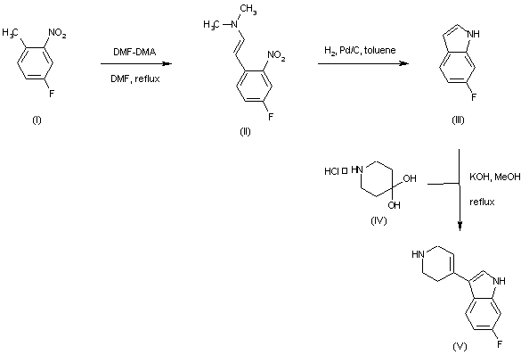
合成路线图解说明:

The indole intermediate (V) has been obtained as follows: The reaction of 4-fluoro-2-nitrotoluene (I) with dimethylformamide dimethylacetal afforded enamine (II). Reductive cyclization of (II) by hydrogenation over Pd/C produced 6-fluoroindole (III). Subsequent condensation of indole (III) with piperidone monohydrate (IV) in the presence of KOH furnished the intermediate indolyl tetrahydropyridine (V).

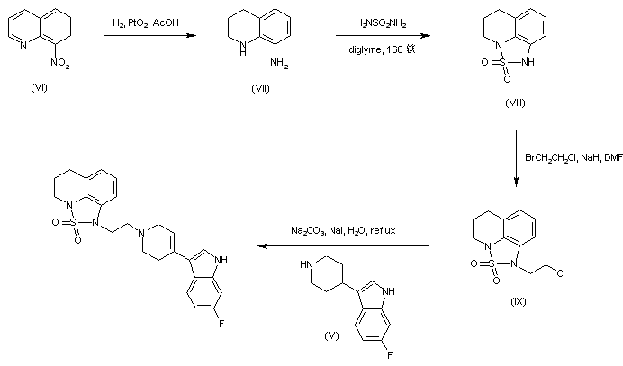
合成路线图解说明:

8-Amino-1,2,3,4-tetrahydroquinoline (VII) was obtained by catalytic hydrogenation of 8-nitroquinoline (VI) over PtO2. Condensation of (VII) with sulfamide in diglyme at 160 C gave rise to the tricyclic system (VIII), which was further alkylated with 1-bromo-2-chloroethane in the presence of NaH to yield chloride (IX). Finally, condensation between tetrahydropyridine (V) and chloride (IX) afforded the title compound.

Drug Information Express,Drug R&D,Chemical Database,Patent Search.
Copyright © 2006-2026 Drug Future. All rights reserved.Contact Us