【药物名称】SB-435495
化学结构式(Chemical Structure):
参考文献No.45673
标题:Pyrimidinone cpds.
作者:Ife, R.J.; Leach, C.A.; Smith, S.A.; Pinto, I.L.; Hickey, D.M.B.; Fenwick, A.E. (GlaxoSmithKline plc)
来源:EP 1175408; WO 0066567
合成路线图解说明:

The Knoevenagel condensation of 1-methylpyrazole-4-carboxaldehyde (I) with malonic acid afforded the pyrazolylacrylic acid (II), which was further esterified with methanol and sulfuric acid, yielding ester (III). Catalytic hydrogenation of the unsaturated ester (III) in the presence of Pd/C gave the pyrazolylpropionate (IV). Claisen condensation of ester (IV) with methyl formate by using potassium tert-butoxide produced the (hydroxymethylene)propionate (V), which was subsequently cyclized with thiourea (VI) to furnish the thiouracil derivative (VII). Alkylation of (VII) with 4-fluorobenzyl chloride (VIII) gave rise to the thioether (IX). Regioselective alkylation of pyrimidine (IX) with tert-butyl iodoacetate produced the pyrimidinylacetate (X). The tert-butyl ester of (X) was then cleaved with trifluoroacetic acid yielding carboxylic acid (XI).

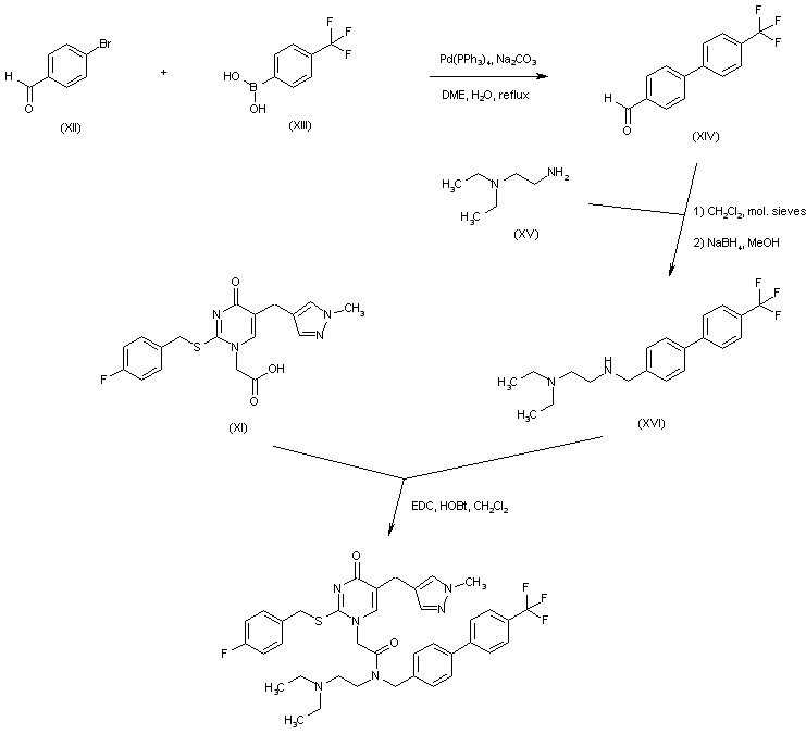
合成路线图解说明:

Suzuki coupling between 4-bromobenzaldehyde (XII) and 4-trifluoromethylbenzeneboronic acid (XIII) produced the biphenyl compound (XIV). The reductive amination of aldehyde (XIV) with N,N-diethyl ethylenediamine (XV) gave diamine (XVI) (1). This was finally coupled with the intermediate carboxylic acid (XI) to afford the title amide.

参考文献No.641423
标题:Inhibition of lipoprotein-associated phospholipase A2 - A novel approach for the treatment of atherosclerosis
作者:Smith, S.A.
来源:11th RSC-SCI Med Chem Symp (Sept 9 2001, Cambridge) 2001,Abst
合成路线图解说明:

The Knoevenagel condensation of 1-methylpyrazole-4-carboxaldehyde (I) with malonic acid afforded the pyrazolylacrylic acid (II), which was further esterified with methanol and sulfuric acid, yielding ester (III). Catalytic hydrogenation of the unsaturated ester (III) in the presence of Pd/C gave the pyrazolylpropionate (IV). Claisen condensation of ester (IV) with methyl formate by using potassium tert-butoxide produced the (hydroxymethylene)propionate (V), which was subsequently cyclized with thiourea (VI) to furnish the thiouracil derivative (VII). Alkylation of (VII) with 4-fluorobenzyl chloride (VIII) gave rise to the thioether (IX). Regioselective alkylation of pyrimidine (IX) with tert-butyl iodoacetate produced the pyrimidinylacetate (X). The tert-butyl ester of (X) was then cleaved with trifluoroacetic acid yielding carboxylic acid (XI).

合成路线图解说明:

Suzuki coupling between 4-bromobenzaldehyde (XII) and 4-trifluoromethylbenzeneboronic acid (XIII) produced the biphenyl compound (XIV). The reductive amination of aldehyde (XIV) with N,N-diethyl ethylenediamine (XV) gave diamine (XVI) (1). This was finally coupled with the intermediate carboxylic acid (XI) to afford the title amide.

Drug Information Express,Drug R&D,Chemical Database,Patent Search.
Copyright © 2006-2026 Drug Future. All rights reserved.Contact Us