【药物名称】BM-567
化学结构式(Chemical Structure):
参考文献No.44300
标题:Benzenic sulphonamide derivs. and their uses
作者:Delarge, J.; Masereel, B.; Dogne, J.-M. (University of Li鑗e)
来源:WO 0042004
合成路线图解说明:

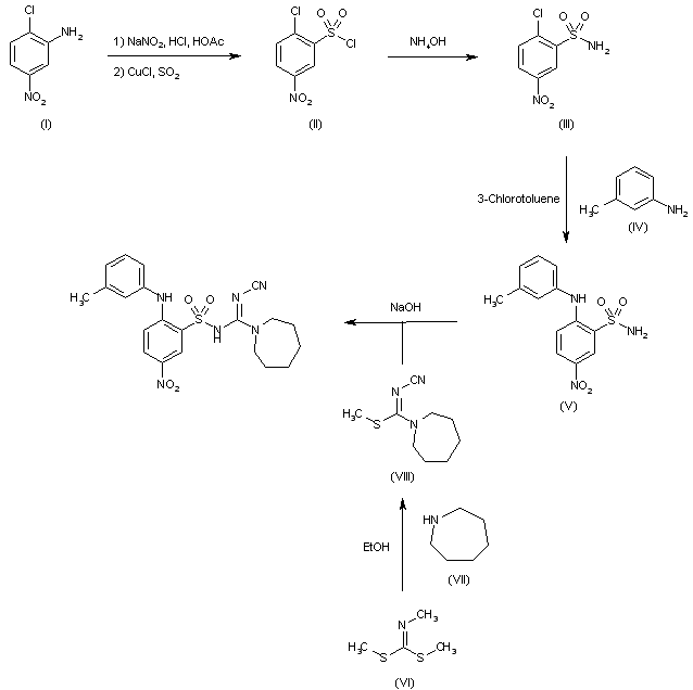
The reaction of 2-chloro-5-nitroaniline (I) with NaNO2 in HCl and HOAc, followed by addition of CuCl2 and SO2 yields sulfonyl chloride (II). Reaction of (II) with NH4OH affords sulfonamide (III), which is then treated 3-methylaniline (IV) in 3-chlorotoluene to furnish intermediate (V). Final conversion of (V) into the target product is achieved by treatment in H2O/acetone with NaOH and carbamimidothioate (VIII), which can be obtained by reaction of dimethyl N-cyanodithioiminocarbonate (VI) with amine (VII) in EtOH.

合成路线图解说明:

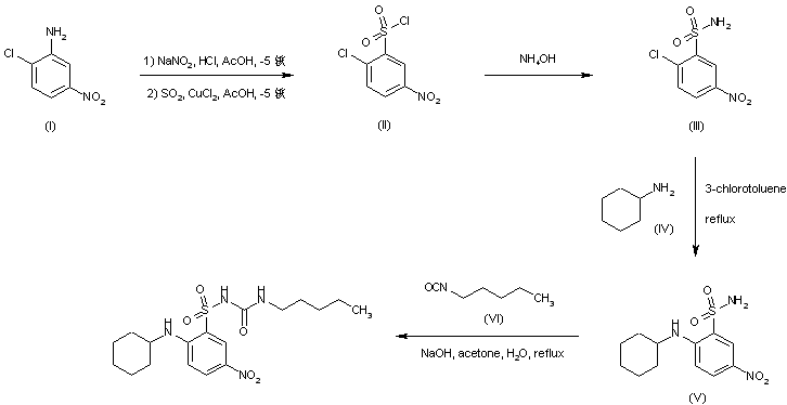
Diazotization of 2-chloro-5-nitroaniline (I), followed by quenching with a solution of SO2 in HOAc in the presence of CuCl2, furnished the sulfonyl chloride (II). Treatment of (II) with aqueous ammonia gave rise to the corresponding sulfonamide (III). The chloro group of (III) was then displaced with cyclohexylamine (IV) in refluxing 3-chlorotoluene to afford the cyclohexylamino benzenesulfonamide (V). Finally, condensation of sulfonamide (V) with pentyl isocyanate (VI) produced the target sulfonylurea.

Drug Information Express,Drug R&D,Chemical Database,Patent Search.
Copyright © 2006-2026 Drug Future. All rights reserved.Contact Us