【药物名称】FAUC-299
化学结构式(Chemical Structure):
参考文献No.600490
标题:Cyanoindole derivatives as highly selective dopamine D4 receptor partial agonists: Solid-phase synthesis, binding assays, and functional experiments
作者:H黚ner, H.; Kraxner, J.; Gmeiner, P.
来源:J Med Chem 2000,43(23),4563
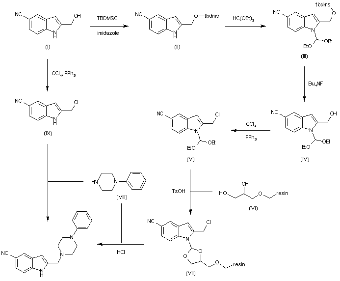
合成路线图解说明:

Protection of alcohol (I) by means of TBDMSCl in DMF in the presence of imidazole yields compound (II), which is then heated with triethyl orthoformate to afford N-diethoxymethyl-substituted indole (III). Removal of the O-protecting group of (III) by means of tetrabutylammonium fluoride (Bu4NF) in THF provides 2-hydroxy-methylindole derivative (IV), which is converted into the chloro derivative (V) by treatment with CCl4/PPh3 in DMF. (Diethyloxymethyl)-protected indole (V) is then loaded onto 1,2-diol functionalized Merrifield resin (VI) by means of p-TsOH in dioxane to furnish polymer-bound derivative (VII), which is converted into the desired product by first reaction with 1-phenylpiperazine (VIII) in DMF followed by final resin cleavage with HCl/dioxane. Alternatively, the desired compound can be obtained by first conversion of alcohol (I) into chloro derivative (IX) by means of CCl4/PPh3 in DMF, followed by reaction with phenylpiperazine (VIII) in DMF.

Drug Information Express,Drug R&D,Chemical Database,Patent Search.
Copyright © 2006-2026 Drug Future. All rights reserved.Contact Us