【药物名称】
化学结构式(Chemical Structure):
参考文献No.45682
标题:Substd. pyrazole deriv.
作者:Perzborn, E.; Kern, A.; Stasch, J.-P.; Straub, A.; Feurer, A.; Dembowsky, K.; Alonso-Alija, C.; Stahl, E. (Bayer AG)
来源:DE 19920352; WO 0066582
合成路线图解说明:

The cyclization of 1-(2-fluorobenzyl)pyrazolo[3,4-b]pyridine-3-carboxamidine (I) (see scheme no. 28591301a, intermediate (IX)) with ethyl 2-(ethoxymethylene)cyanacetate (II) in refluxing toluene gives the pyrimidine-5-carboxylate derivative (III), which is cyclized to the target 1-hydroxycyclopropyl derivation by reaction with CH2I2 and SmI2 in hot THF.

参考文献No.668949
标题:Metabolites of orally active NO-independent pyrazolopyridine stimulators of soluble guanylate cyclase
作者:Straub, A.; Benet-Buckholz, J.; Fr鰀e, R.; Kern, A.; Kohlsdorfer, C.; Schmitt, P.; Schwarz, T.; Siefert, H.-M.; Stasch, J.-P.
来源:Bioorg Med Chem 2002,10(6),1711
合成路线图解说明:

The cyclization of 1-(2-fluorobenzyl)pyrazolo[3,4-b]pyridine-3-carboxamidine (I) (see scheme no. 28591301a, intermediate (IX)) with ethyl 2-(ethoxymethylene)cyanacetate (II) in refluxing toluene gives the pyrimidine-5-carboxylate derivative (III), which is cyclized to the target 1-hydroxycyclopropyl derivation by reaction with CH2I2 and SmI2 in hot THF.

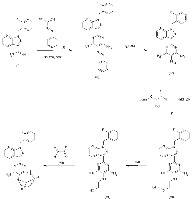
合成路线图解说明:

The cyclization of 1-(2-fluorobenzyl)pyrazolo[3,4-b]pyridine-3-carboxamidine (I) (see scheme no. 28591301a, intermediate (IX)) with phenylazomalononitrile (II) by means of NaOMe in hot DMF gives the pyrimidine (III), which is reduced with H2 over RaNi in hot DMF to yield the triaminopyrimidine (IV). The reductocondensation of (IV) with 2-(tert-butyldimethylsilyloxy)acetaldehyde (V) by means of NaBH3CN in methanol/AcOH affords the adduct (VI), which is desilylated by means of TBAF in THF to provide the 2-hydroxyethylamino derivative (VII). Finally, this compound is cyclized with aqueous glyoxal (VIII) to furnish the target tricyclic compound.

Drug Information Express,Drug R&D,Chemical Database,Patent Search.
Copyright © 2006-2026 Drug Future. All rights reserved.Contact Us