【药物名称】Helioxanthin, ACH-126447
化学结构式(Chemical Structure):
参考文献No.602852
标题:Activity of a novel camptothecin analogue, homocamptothecin, in camptothecin-resistant cell lines with topoisomerase I alterations
作者:Urasaki, Y.; Takebayashi, Y.; Pommier, Y.
来源:Cancer Res 2000,60(23),6577
合成路线图解说明:

Alternatively, the condensation of 1,3-benzodioxole-5-carbaldehyde ethylene ketal (VIII) with carbaldehyde (V) by means of n-BuLi gives the hydroxy ketal (IX), which is treated with Ac2O, HOAc and maleic anhydride (XI) at 140 C to perform a Diels-Alder cyclization between the nonisolated isobenzofuran (X) (a reactive diene) and the maleic anhydride (the dienophile), giving rise to the cyclic anhydride (XII). Finally, this compound is reduced with NaBH4 to the target compound along with some structural isomer (XIII) that is separated by chromatography.

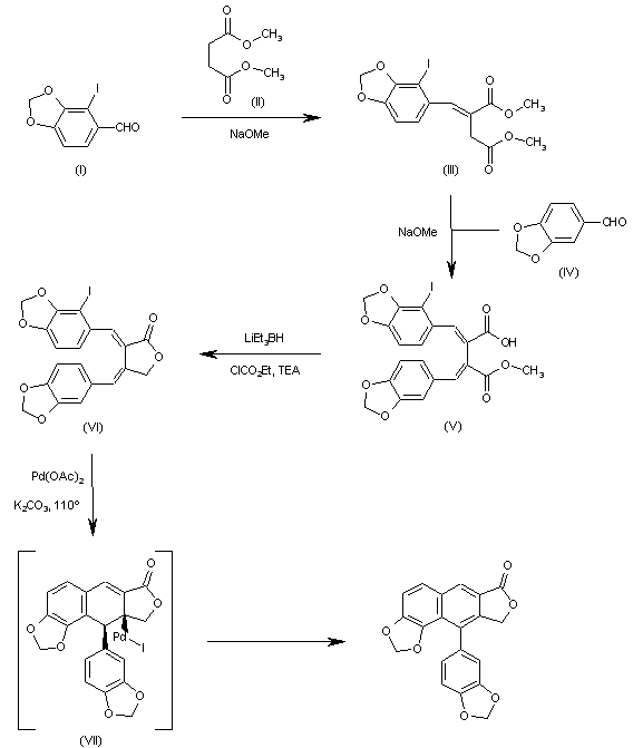
参考文献No.606715
标题:The first regiospecific synthesis of helioxanthin by novel palladium-catalyzed benzannulation reaction of alpha,beta-bisbenzylidene-gamma-lactone
作者:Mizufune, H.; et al.
来源:Tetrahedron Lett 2001,42(3),437
合成路线图解说明:

The condensation of 4-iodo-1,3-benzodioxole-5-carbaldehyde (I) with dimethyl succinate (II) by means of NaOMe in aqueous methanol gives the benzylidene derivative (III), which is condensed with 1,3-benzodioxole-5-carbaldehyde (IV) by means of NaOMe in methanol, affording the bis-benzylidene hemiester (V). The selective reduction of (V) with LiEt3BH, followed by lactonization with ethyl chloroformate and TEA in THF, yields the lactone (VI), which is finally cyclized by means of Pd(OAc)2 and K2CO3 at 110 C through the nonisolated intermediate (VII), providing the target compound.

Drug Information Express,Drug R&D,Chemical Database,Patent Search.
Copyright © 2006-2026 Drug Future. All rights reserved.Contact Us