【药物名称】21-Hydroxyepothilone D, Desoxyepothilone F, dEpoF
化学结构式(Chemical Structure):
参考文献No.545519
标题:New chemical synthesis of the promising cancer chemotherapeutic agent 12,13-desoxyepothilone B: Discovery of a surprising long-range effect on the diastereoselectivity of an aldol condensation
作者:Harris, C.R.; et al.
来源:J Am Chem Soc 1999,121(30),7050
合成路线图解说明:

Treatment of diketoester (I) with trimethylsilyl diazomethane and diisopropyl ethylamine produced enol ether (II). This was condensed with (S)-2-methyl-4-pentenal (III) in the presence of LDA at -120 C to afford the aldol condensation product (IV) as the major isomer. Protection of the 7-hydroxyl group of (IV) with trichloroethoxycarbonyl chloride gave carbonate (V). Enol ether of (V) was then hydrolyzed with p-TsOH in acetone to provide diketoester (VI). Hydroboration of the terminal olefin of (VI) with 9-borabicyclo[3.3.1]nonane gave organoborane (VII). Then, Suzuki coupling of (VII) with vinyl iodide (VIII), followed by acid hydrolysis of the silyl protecting group, provided the thiazolyl heptadecadienoate (IX). Asymmetric hydrogenation of 3-keto group of (IX) in the presence of the modified Noyori's catalyst [RuCl2(R)-BINAP)]2[Et3N] furnished the desired 3-(S) alcohol (X).

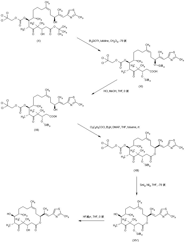
合成路线图解说明:

Further treatment of (X) with Et3SiOTf and 2,6-lutidine protected both 3- and 15-hydroxyl groups as the triethylsilyl ethers and cleaved the tert-butyl ester to yield carboxylic acid (XI). The bis(triethylsilyl)-protected diol (XI) was selectively hydrolyzed to the required 15-hydroxy acid (XII) upon treatment with cold 0.12 M HCl in MeOH. Macrolactonization of (XII) was then performed by means of 2,4,6-trichlorobenzoyl chloride, Et3N and DMAP yielding (XIII). Removal of the trichloroethoxycarbonyl protecting group from the resulting lactone (XIII) employing SmI2 and a catalytic amount of NiI2 in THF at -78 C yielded (XIV). Finally, desilylation of (XIV) with HF-pyridine afforded the target compound.

合成路线图解说明:

The treatment of diketoester (XII) with trimethylsilyl diazomethane and DIEA gives enol ether (XIII), which is condensed with 2(S)-methyl-4-pentenal (XIV) by means of LDA to yield the aldol condensation product (XV) as the major isomer. The protection of the OH group of (XV) with Troc-Cl and pyridine affords the trichloroethyl carbonate (XVI), whose enol ether group is hydrolyzed with TsOH in acetone to provide the diketoester (XVII). The condensation of (XVII) with iodovinyl intermediate (XI) by means of BBN, (dppf)2PdCl2, AsPh3 and Cs2CO3 in THF/DMF/water gives adduct (XVIII), which is desilylated by means of HCl in methanol to yield the secondary alcohol (XIX). The asymmetric hydrogenation of (XIX) with H2 over a chiral Ru catalyst in acidic methanol affords the secondary diol (XX), which is silylated with Tes-OTf and lutidine to provide the bis-silyl ether (XXI). The selective desilylation of (XXI) with simultaneous hydrolysis of its tert-butyl ester by means of HCl in methanol gives the hydroxyacid (XXII) suitable for cyclization.

参考文献No.595113
标题:Total synthesis and antitumor activity of 12,13-dexoxyepothilone F: An unexpected solvolysis problem at C15, mediated by remote substitution at C21
作者:Lee, C.B.; Chou, T.-C.; Zhang, X.-G.; Wang, Z.-G.; Kuduk, S.D.; Chappell, M.D.; Stachel, S.J.; Danishefsky, S.J.
来源:J Org Chem 2000,65(20),6525
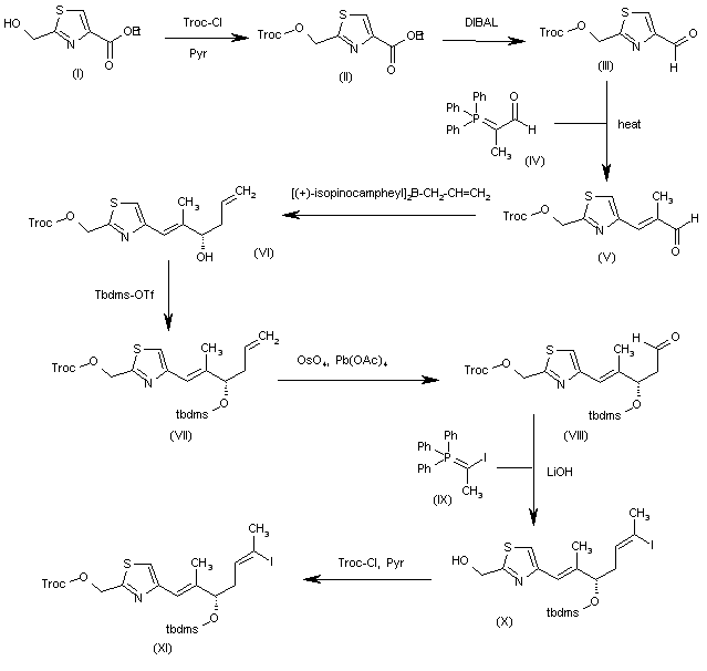
合成路线图解说明:

The intermediate iodovinyl compound (XI) has been obtained as follows: The reaction of 2-(hydroxymethyl)thiazole-4-carboxylic acid ethyl ester (I) with Troc-Cl and pyridine in dichloromethane gives the protected compound (II), which is reduced with DIBAL in the same solvent to yield the carbaldehyde (III). The condensation of aldehyde (III) with phosphorane (IV) in refluxing benzene affords the unsaturated aldehyde (V), which is asymmetrically allylated by means of (+)-diisopinocampheyl(allyl)borane in pentane to provide the chiral secondary alcohol (VI). The reaction of (VI) with Tbdms-Cl and lutidine in dichloromethane gives the silyl ether (VII), which is oxidized at the terminal double bond by means of OsO4 and Pb(OAc)4 to yield the aldehyde (VIII). The condensation of (VIII) with phosphorane (IX) and LiOH in THF affords the iodovinyl compound (X), which is finally treated with Troc-Cl and pyridine to provide the desired iodovinyl intermediate (XI).

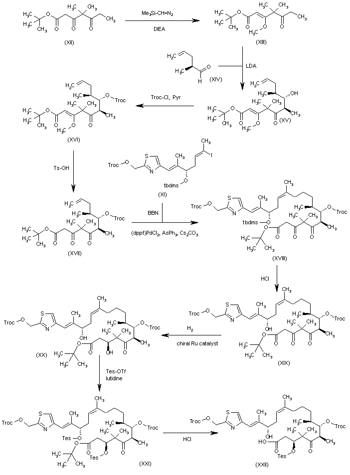
合成路线图解说明:

The treatment of diketoester (XII) with trimethylsilyl diazomethane and DIEA gives enol ether (XIII), which is condensed with 2(S)-methyl-4-pentenal (XIV) by means of LDA to yield the aldol condensation product (XV) as the major isomer. The protection of the OH group of (XV) with Troc-Cl and pyridine affords the trichloroethyl carbonate (XVI), whose enol ether group is hydrolyzed with TsOH in acetone to provide the diketoester (XVII). The condensation of (XVII) with iodovinyl intermediate (XI) by means of BBN, (dppf)2PdCl2, AsPh3 and Cs2CO3 in THF/DMF/water gives adduct (XVIII), which is desilylated by means of HCl in methanol to yield the secondary alcohol (XIX). The asymmetric hydrogenation of (XIX) with H2 over a chiral Ru catalyst in acidic methanol affords the secondary diol (XX), which is silylated with Tes-OTf and lutidine to provide the bis-silyl ether (XXI). The selective desilylation of (XXI) with simultaneous hydrolysis of its tert-butyl ester by means of HCl in methanol gives the hydroxyacid (XXII) suitable for cyclization.

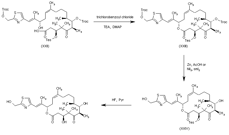
合成路线图解说明:

The macrocyclization of (XXII) under Yamaguchi conditions (trichlorobenzoyl chloride, TEA and DMAP) in toluene gives the macrolactone (XXIII), which is treated with Zn and HOAc in THF or with NiI2/SmI2 in the same solvent to eliminate the two Troc protecting groups to yield the monosilylated intermediate (XXIV). Finally, this compound is desilylated by means of HF and pyridine in THF to afford the target 12,13-desoxyepothilone F.

Drug Information Express,Drug R&D,Chemical Database,Patent Search.
Copyright © 2006-2026 Drug Future. All rights reserved.Contact Us