【药物名称】NSC-D699127
化学结构式(Chemical Structure):
参考文献No.45429
标题:Bis-benzazoles and their use as antineoplastic agents
作者:Mann, J.; Neidle, S. (Institute of Cancer Research; Queen's University of Belfast; University of Reading)
来源:WO 0063180
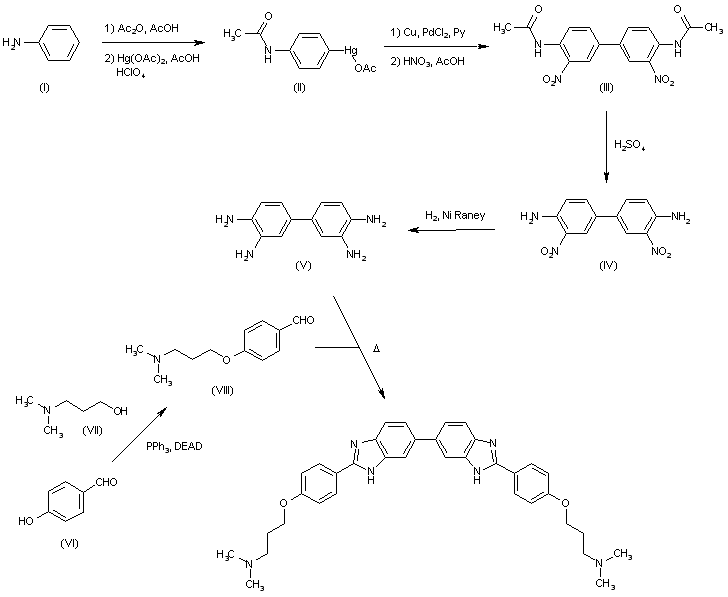
合成路线图解说明:

Acetylation of aniline (I) with acetic anhydride (Ac2O) in HOAc followed by reaction with mercurium acetate (Hg(OAc)2) and HClO4 in HOAc provides derivative (II), which is first subjected to dimerization by treatment with Cu and PdCl2 in pyridine and then nitrated by means of HNO3 in HOAc to afford substituted biphenyl (III). Hydrolysis of (III) with H2SO4 gives 4,4'-diamino-3,3'-dinitrobiphenyl (IV), which is converted into tetraaminobiphenyl (V) by hydrogenation over Raney-Ni in acetone. Mitsunobu reaction between p-hydroxybenzaldehyde (VI) and 3-dimethylamino propan-1-ol (VII) with PPh3 and DEAD in THF gives substituted benzaldehyde (VIII), which is finally cyclized with biphenyl derivative (V) by heating in nitrobenzene to furnish the target product.

参考文献No.604308
标题:A new class of symmetric bisbenzimidazole-based DNA minor groove-binding agents showing antitumor activity
作者:Mann, J.; Baron, A.; Opoku-Boahen, Y.; johansson, E.; Parkinson, G.; Kelland, L.R.; Neidle, S.
来源:J Med Chem 2001,44(2),138
合成路线图解说明:

Acetylation of aniline (I) with acetic anhydride (Ac2O) in HOAc followed by reaction with mercurium acetate (Hg(OAc)2) and HClO4 in HOAc provides derivative (II), which is first subjected to dimerization by treatment with Cu and PdCl2 in pyridine and then nitrated by means of HNO3 in HOAc to afford substituted biphenyl (III). Hydrolysis of (III) with H2SO4 gives 4,4'-diamino-3,3'-dinitrobiphenyl (IV), which is converted into tetraaminobiphenyl (V) by hydrogenation over Raney-Ni in acetone. Mitsunobu reaction between p-hydroxybenzaldehyde (VI) and 3-dimethylamino propan-1-ol (VII) with PPh3 and DEAD in THF gives substituted benzaldehyde (VIII), which is finally cyclized with biphenyl derivative (V) by heating in nitrobenzene to furnish the target product.

参考文献No.615749
标题:Symmetric bis-benzimidazoles: New sequence-selective DNA-binding molecules
作者:Neidle, S.; et al.
来源:Chem Commun (London) 1999,(10),929
合成路线图解说明:

Acetylation of aniline (I) with acetic anhydride (Ac2O) in HOAc followed by reaction with mercurium acetate (Hg(OAc)2) and HClO4 in HOAc provides derivative (II), which is first subjected to dimerization by treatment with Cu and PdCl2 in pyridine and then nitrated by means of HNO3 in HOAc to afford substituted biphenyl (III). Hydrolysis of (III) with H2SO4 gives 4,4'-diamino-3,3'-dinitrobiphenyl (IV), which is converted into tetraaminobiphenyl (V) by hydrogenation over Raney-Ni in acetone. Mitsunobu reaction between p-hydroxybenzaldehyde (VI) and 3-dimethylamino propan-1-ol (VII) with PPh3 and DEAD in THF gives substituted benzaldehyde (VIII), which is finally cyclized with biphenyl derivative (V) by heating in nitrobenzene to furnish the target product.

Drug Information Express,Drug R&D,Chemical Database,Patent Search.
Copyright © 2006-2026 Drug Future. All rights reserved.Contact Us