【药物名称】FUB-593
化学结构式(Chemical Structure):
参考文献No.552673
标题:Novel partial agonists for the histamine H3 receptor with high in vitro and in vivo activity
作者:Sasse, A.; Stark, H.; Reidemeister, S.; Huls, A.; Elz, S.; Ligneau, X.; Ganellin, C.R.; Schwartz, J.C.; Schunack, W.
来源:J Med Chem 1999,42(20),4269
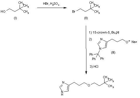
合成路线图解说明:

Treatment of alcohol (I) with HBr in refluxing H2SO4 affords bromide (II), which is then condensed with sodium propanolate (III) by Williamson synthesis in the presence of 15-crown-5 and tetrabutylammonium iodide. Finally, treatment with HCl in refluxing THF allows the corresponding N-deprotection, providing the target compound.

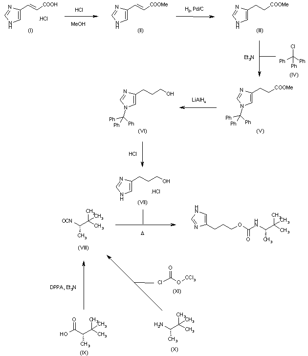
合成路线图解说明:

Esterification of urocanic acid (I) by means of HCl in MeOH affords methyl ester (II), which is then hydrogenated over Pd/C in MeOH to provide compound (III). Protection of the imidazole ring of (III) with triphenylmethyl chloride (trityl chloride) (IV) and Et3N in acetonitrile yields derivative (V), whose carboxylate moiety is reduced with LiAlH4 in refluxing THF to give alcohol (VI). Trityl removal from compound (VI) with HCl in refluxing EtOH furnishes hydrochloride (VII), which is finally converted into the desired product by condensation in refluxing acetonitrile with isocyanate (VIII) (which in turn can be obtained either by treatment of carboxylic acid (IX) with diphenyl phosphorazidate (DPPA) and Et3N in refluxing dioxane or by reaction of amine (X) with diphosgene (XI) and catalytic charcoal in refluxing ethyl acetate).

参考文献No.622540
标题:[125I]Iodoproxyfan and related compounds: A reversible radioligand and novel classes of antagonists with high affinity and selectivity for the histamine H3 receptor
作者:Stark, H.; Purand, K.; Huls, A.; Ligneau, X.; Garbarg, M.; Schwartz, J.C.; Schunack, W.
来源:J Med Chem 1996,39(6),1220
合成路线图解说明:

Esterification of urocanic acid (I) by means of HCl in MeOH affords methyl ester (II), which is then hydrogenated over Pd/C in MeOH to provide compound (III). Protection of the imidazole ring of (III) with triphenylmethyl chloride (trityl chloride) (IV) and Et3N in acetonitrile yields derivative (V), whose carboxylate moiety is reduced with LiAlH4 in refluxing THF to give alcohol (VI). Trityl removal from compound (VI) with HCl in refluxing EtOH furnishes hydrochloride (VII), which is finally converted into the desired product by condensation in refluxing acetonitrile with isocyanate (VIII) (which in turn can be obtained either by treatment of carboxylic acid (IX) with diphenyl phosphorazidate (DPPA) and Et3N in refluxing dioxane or by reaction of amine (X) with diphosgene (XI) and catalytic charcoal in refluxing ethyl acetate).

Drug Information Express,Drug R&D,Chemical Database,Patent Search.
Copyright © 2006-2026 Drug Future. All rights reserved.Contact Us