【药物名称】AC-165024
化学结构式(Chemical Structure):
参考文献No.599287
标题:Multistep solution-phase parallel synthesis of spiperone analogues
作者:Hansen, H.C.; Olsson, R.; Croston, G.E.; Andersson, C.M.
来源:Bioorg Med Chem Lett 2000,10(21),2435
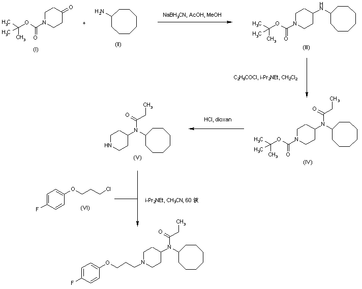
合成路线图解说明:

The reductive alkylation of cyclooctylamine (II) with N-Boc-4-piperidinone (I) in the presence of sodium cyanoborohydride afforded the secondary amine (III), which was condensed with propionyl chloride, yielding amide (IV). Deprotection of the Boc group of (IV) by means of HCl in dioxan provided piperidine (V). This was finally alkylated with 1-(3-chloropropoxy)-4-fluorobenzene (VI) to furnish the title compound.

Drug Information Express,Drug R&D,Chemical Database,Patent Search.
Copyright © 2006-2026 Drug Future. All rights reserved.Contact Us