【药物名称】Meglitinide
化学结构式(Chemical Structure):
参考文献No.614715
标题:Meglitinide
作者:Blancafort, P.; Serradell, M.N.; Casta馿r, J.; Hillier, K.
来源:Drugs Fut 1979,4(7),507
合成路线图解说明:

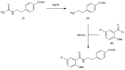
It can be prepared in two different ways: 1) The saponification of 4-(2-acetylaminoethyl)benzoic acid (I), with NaOH affords 4-(2-aminoethyl)benzoic acid (II), which is then acylated with 2-methoxy-5-chlorobenzoyl chloride (III) by means of sodium acetate in acetone.

合成路线图解说明:

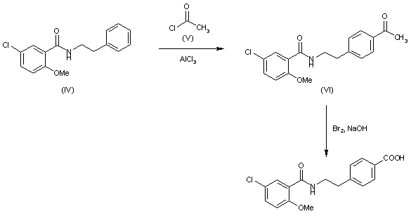
2) The Friedel-Crafts acetylation of 5-chloro-2-methoxy-N-(beta-phenylethyl)benzamide (IV) with acetyl chloride (V) by means of AlCl3 in dichloromethane gives 4-[2-(5-chloro-2-methoxybenzamido)ethyl]acetophenone (VI), which is then oxidized with Br2 and NaOH in water.

参考文献No.900364
标题:
作者:Weyer, R.; et al.
来源:BE 837311; DE 2500157; FR 2296407; JP 76131846; NL 7515129; PT 64670; ZA 7600007
合成路线图解说明:

It can be prepared in two different ways: 1) The saponification of 4-(2-acetylaminoethyl)benzoic acid (I), with NaOH affords 4-(2-aminoethyl)benzoic acid (II), which is then acylated with 2-methoxy-5-chlorobenzoyl chloride (III) by means of sodium acetate in acetone.

合成路线图解说明:

2) The Friedel-Crafts acetylation of 5-chloro-2-methoxy-N-(beta-phenylethyl)benzamide (IV) with acetyl chloride (V) by means of AlCl3 in dichloromethane gives 4-[2-(5-chloro-2-methoxybenzamido)ethyl]acetophenone (VI), which is then oxidized with Br2 and NaOH in water.

Drug Information Express,Drug R&D,Chemical Database,Patent Search.
Copyright © 2006-2026 Drug Future. All rights reserved.Contact Us