【药物名称】RTI-362
化学结构式(Chemical Structure):
参考文献No.389838
标题:3alpha-(4'-Substituted phenyl)tropane-2beta-carboxylic acid methyl esters: Novel ligands with high affinity and selectivity at the dopamine transporter
作者:Holmquist, C.R.; Keverline-Frantz, K.I.; Abraham, P.; Boja, J.W.; Kuhar, M.J.; Carroll, F.I.
来源:J Med Chem 1996,39(21),4139
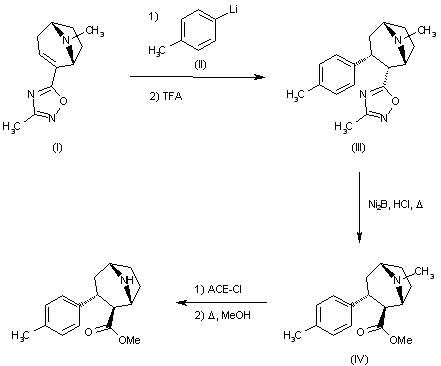
合成路线图解说明:

Treatment of azabicyclo[3.2.1]octene derivative (I) with lithiated compound (II) in THF followed by quenching with trifluoroacetic acid yields tropane (III), whose oxadiazole group is converted into a methyl ester by treatment with nickel boride (Ni2B) and HCl in refluxing methanol to provide the 2-beta,3-alpha stereoisomer (IV). Finally, the desired nortropane compound is obtained by refluxing tropane (IV) with alpha-chloroethyl chloroformate (ACE-Cl) in dichloromethane followed by solvolysis with methanol.

参考文献No.599288
标题:3alpha-(4-Substituted phenyl) mortropane-2beta-carboxylic acid methyl esters show selective binding at the norepinephrine transporter
作者:Blough, B.E.; Holmquist, C.R.; Abraham, P.; Kuhar, M.J.; Carroll, F.I.
来源:Bioorg Med Chem Lett 2000,10(21),2445
合成路线图解说明:

Treatment of azabicyclo[3.2.1]octene derivative (I) with lithiated compound (II) in THF followed by quenching with trifluoroacetic acid yields tropane (III), whose oxadiazole group is converted into a methyl ester by treatment with nickel boride (Ni2B) and HCl in refluxing methanol to provide the 2-beta,3-alpha stereoisomer (IV). Finally, the desired nortropane compound is obtained by refluxing tropane (IV) with alpha-chloroethyl chloroformate (ACE-Cl) in dichloromethane followed by solvolysis with methanol.

Drug Information Express,Drug R&D,Chemical Database,Patent Search.
Copyright © 2006-2026 Drug Future. All rights reserved.Contact Us