【药物名称】WAY-170523
化学结构式(Chemical Structure):
参考文献No.49548
标题:Preparation and use of orthosulfonamido aryl hydroxamic acids as matrix metalloproteinase and TACE inhibitors
作者:Gu, Y.; Nelson, F.C.; Zask, A.; Du, M.T.; Levin, J.I.; Venkatesan, M. (American Cyanamid Co.)
来源:US 5929097
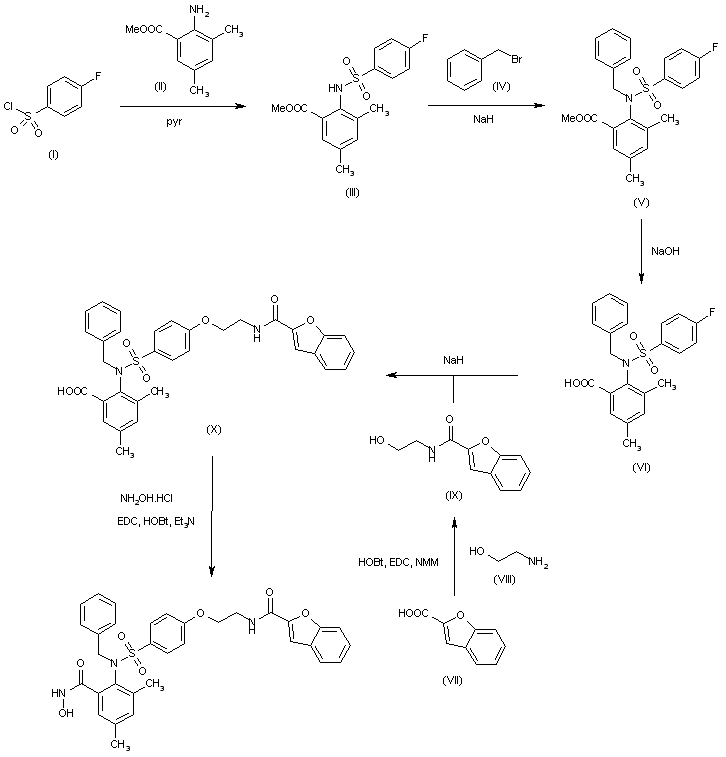
合成路线图解说明:

Condensation of 4-fluorobenzenesulfonyl chloride (I) with anthranilic acid derivative (II) by means of pyridine yields sulfonamide derivative (III), which is then N-alkylated by reaction with benzyl bromide (IV) by means of NaH in DMF to furnish compound (V). Saponification of the methyl ester group of (V) by treatment with NaOH in refluxing MeOH affords carboxylic acid (VI) (1), which is then converted into compound (X) by condensation with hydroxy derivative (IX) by means of NaH in DMF. (In turn, compound (IX) can be obtained by coupling of 2-benzofurancarboxylic acid (VII) with ethanolamine (VIII) by means of HOBt/EDC and NMM in DMF. Finally, the target product is obtained by derivatization of the carboxylic acid moiety of (X) with hydroxylamine hydrochloride by means of HOBt/EDC and Et3N in DMF.

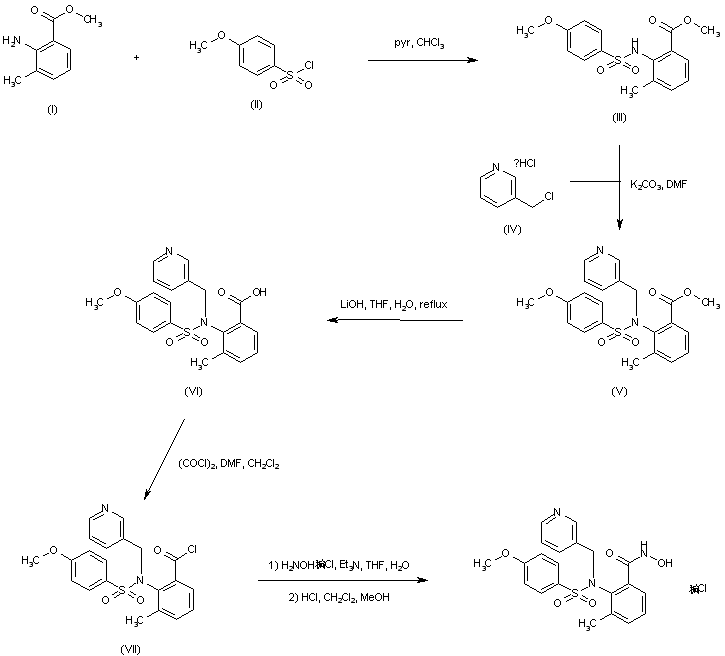
合成路线图解说明:

Sulfonylation of methyl 3-methylanthranilate (I) with 4-methoxybenzenesulfonyl chloride (II) provided the sulfonamide (III). This was then N-alkylated with 3-picolyl chloride hydrochloride (IV) in the presence of K2CO3 to afford (V). Ester (V) hydrolysis with LiOH or NaOH provided carboxylic acid (VI), which was further activated as the corresponding acid chloride (VII) using oxalyl chloride in the presence of DMF. Coupling of acid chloride (VII) with hydroxylamine hydrochloride furnished the target hydroxamic acid, which was finally treated with HCl to produce the title hydrochloride salt.

合成路线图解说明:

Acylation of methyl 3-methylanthranilate (I) with 4-(4-pyridyloxy)benzenesulfonyl chloride (II) gave sulfonamide (III). Subsequent N-alkylation of the sulfonamide function with iodomethane in the presence of NaH afforded the N-methyl sulfonamide (IV). Basic hydrolysis of the ester group of (IV) yielded carboxylic acid (V), which was further activated as the acid chloride (VI) upon treatment with oxalyl chloride. Finally, reaction of acid chloride (VI) with hydroxylamine yielded the corresponding hydroxamic acid.

参考文献No.598861
标题:Structure-based design of a novel, potent, and selective inhibitor for MMP-13 utilizing NMR spectroscopy and computer-aided molecular design
作者:Levin, J.I.; Nilakantan, R.; Mobilio, D.; Chen, J.M.; Nelson, F.C.; Powers, R.; Moy, F.J.; Zask, A.
来源:J Am Chem Soc 2000,122(40),9648
合成路线图解说明:

Condensation of 4-fluorobenzenesulfonyl chloride (I) with anthranilic acid derivative (II) by means of pyridine yields sulfonamide derivative (III), which is then N-alkylated by reaction with benzyl bromide (IV) by means of NaH in DMF to furnish compound (V). Saponification of the methyl ester group of (V) by treatment with NaOH in refluxing MeOH affords carboxylic acid (VI) (1), which is then converted into compound (X) by condensation with hydroxy derivative (IX) by means of NaH in DMF. (In turn, compound (IX) can be obtained by coupling of 2-benzofurancarboxylic acid (VII) with ethanolamine (VIII) by means of HOBt/EDC and NMM in DMF. Finally, the target product is obtained by derivatization of the carboxylic acid moiety of (X) with hydroxylamine hydrochloride by means of HOBt/EDC and Et3N in DMF.

Drug Information Express,Drug R&D,Chemical Database,Patent Search.
Copyright © 2006-2026 Drug Future. All rights reserved.Contact Us