【药物名称】GSQ-83698, GBB-83698, BB-83698
化学结构式(Chemical Structure):
参考文献No.45349
标题:Antimicrobial agents
作者:Todd, R.S.; Beckett, R.P.; Brookings, D.C.; Smith, H.K.; Thompson, A.J. (British Biotech Pharmaceuticals Ltd.)
来源:EP 1169031; JP 2002541197; WO 0061134
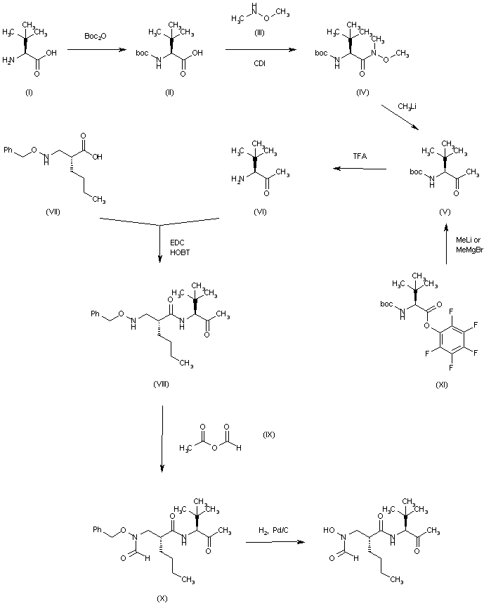
合成路线图解说明:

The reaction of L-tert-leucine (I) with Boc2O and TEA in methanol gives N-Boc-L-tert-leucine (II), which is condensed with N,O-dimethylhydroxylamine (III) by means of CDI in dichloromethane to yield the corresponding amide (IV) (1). The reaction of (IV) with methyl lithium in THF affords the chiral methylketone (V), which is deprotected by means of TFA in dichloromethane to provide the aminoketone (VI). The condensation of (VI) with 2(R)-(benzyloxyaminomethyl)hexanoic acid (VII) by means of EDC and HOBt in DMF leads to the amide (VIII), which is formylated by means of formylacetic anhydride (IX) in dichloromethane to give the precursor (X). Finally this compound is deprotected by hydrogenation with H2 over Pd/C in ethyl acetate to afford the target compound. Alternatively, the intermediate chiral ketone (V) can also be obtained by reaction of N-Boc-L-tert-leucine pentafluorophenyl ester (XI) with methyl lithium of methylmagnesium bromide

参考文献No.693870
标题:A new series of potent PDF inhibitors displaying broad-spectrum antibacterial activity against respiratory tract infections
作者:Ayscough, A.; Beckett, R.P.; Brookings, D.C.; Clements, J.M.; East, S.P.; Keavey, K.; Smith, K.H.; Thomas, W.; Thompson, A.J.; Todd, R.S.
来源:42nd Intersci Conf Antimicrob Agents Chemother (Sept 27 2002, San Diego) 2002,Abst F-1677
合成路线图解说明:

The reaction of L-tert-leucine (I) with Boc2O and TEA in methanol gives N-Boc-L-tert-leucine (II), which is condensed with N,O-dimethylhydroxylamine (III) by means of CDI in dichloromethane to yield the corresponding amide (IV) (1). The reaction of (IV) with methyl lithium in THF affords the chiral methylketone (V), which is deprotected by means of TFA in dichloromethane to provide the aminoketone (VI). The condensation of (VI) with 2(R)-(benzyloxyaminomethyl)hexanoic acid (VII) by means of EDC and HOBt in DMF leads to the amide (VIII), which is formylated by means of formylacetic anhydride (IX) in dichloromethane to give the precursor (X). Finally this compound is deprotected by hydrogenation with H2 over Pd/C in ethyl acetate to afford the target compound. Alternatively, the intermediate chiral ketone (V) can also be obtained by reaction of N-Boc-L-tert-leucine pentafluorophenyl ester (XI) with methyl lithium of methylmagnesium bromide

合成路线图解说明:

Condensation of N-Boc-tert-leucine pentafluorophenyl ester (I) with Grignard reagent (II) furnishes the trifluorophenyl ketone (III). After acidic N-Boc group cleavage in (III), the resultant amine (IV) is coupled with the N-formyl-N-(benzyloxy)aminoacid (V) to provide the corresponding amide (VI). Displacement of the 4-fluoro group of (VI) with morpholine (VII) gives rise to the morpholinophenyl ketone (VIII). The O-benzyl protecting group of (VIII) is finally removed by transfer hydrogenolysis in the presence of cyclohexene and Pd/C to afford the target hydroxylamine compound (1).

Drug Information Express,Drug R&D,Chemical Database,Patent Search.
Copyright © 2006-2026 Drug Future. All rights reserved.Contact Us