【药物名称】Zoniporide hydrochloride, CP-597396
化学结构式(Chemical Structure):
参考文献No.40416
标题:N-[(Substd. five-membered di- or triaza diunsaturated ring)carbonyl] guanidine derivs. for the treatment of ischemia
作者:Guzman-Perez, A.; Ruggeri, R.B.; Wester, R.T.; Hamanaka, E.S.; Mularski, C.J. (Pfizer Inc.)
来源:EP 1056729; WO 9943663
合成路线图解说明:

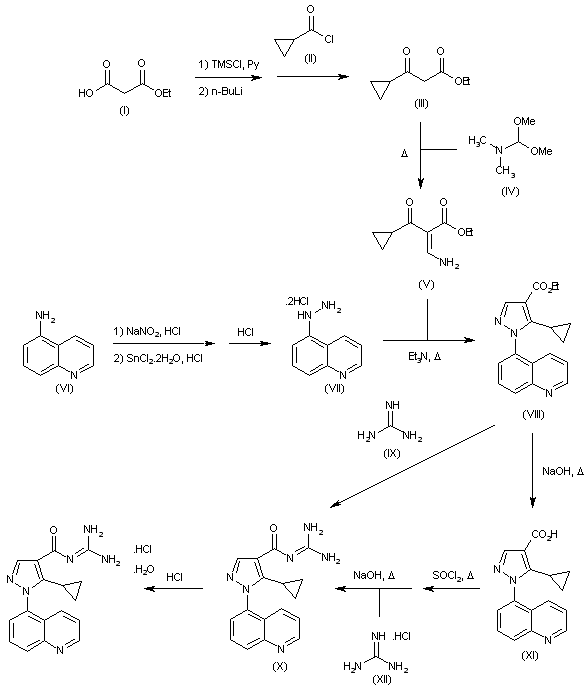
Malonic acid monoethyl ester (I) is converted into beta-ketoester (III) by formation of the corresponding trimethylsilyl ester with TMSCl and pyridine in ether followed by deprotonation with n-BuLi and acylation with cyclopropanecarbonyl chloride (II) in DME. Treatment of (III) with refluxing N,N-dimethylformamide dimethyl acetal (IV) affords enamine (V). Quinoline-5-amine (VI) is first subjected to diazotation by treatment with NaNO2 in H2O/HCl, reduced with SnCl2.2H2O in HCl and isolated as the corresponding dihydrochloride salt (VII) by treatment with HCl. Condensation of enamine (V) with hydrazine (VII) in the presence of Et3N in refluxing EtOH yields pyrazole ester (VIII), which is converted into acylguanidine (X) either by direct heating with guanidine (IX) in EtOH or by first transformation into the corresponding carboxylic acid (XI) by saponification with NaOH in refluxing MeOH, followed by treatment with refluxing thionyl chloride and reaction with guanidine hydrochloride (XII) under Schotten-Baumann conditions in refluxing THF/NaOH. Finally, treatment of the free base (X) with HCl in THF allows isolation of the corresponding monohydrochloride-monohydrate salt .

参考文献No.616089
标题:Discovery of zoniporide: A potent and selective sodium-hydrogen exchanger type 1 (NHE-1) inhibitor with high aqueous solubility
作者:Guzman-Perez, A.; Wester, R.T.; Allen, M.C.; Brown, J.A.; Buchholz, A.R.; Cook, E.R.; Day, W.W.; Hamanaka, E.S.; Kennedy, S.P.; Knight, D.R.; Kowalczyk, P.J.; Marala, R.B.; Mularski, C.J.; Novomisle, W.A.; Ruggeri, R.B.; Tracey, W.R.; Hill, R.J.
来源:Bioorg Med Chem Lett 2001,11(6),803
合成路线图解说明:

Malonic acid monoethyl ester (I) is converted into beta-ketoester (III) by formation of the corresponding trimethylsilyl ester with TMSCl and pyridine in ether followed by deprotonation with n-BuLi and acylation with cyclopropanecarbonyl chloride (II) in DME. Treatment of (III) with refluxing N,N-dimethylformamide dimethyl acetal (IV) affords enamine (V). Quinoline-5-amine (VI) is first subjected to diazotation by treatment with NaNO2 in H2O/HCl, reduced with SnCl2.2H2O in HCl and isolated as the corresponding dihydrochloride salt (VII) by treatment with HCl. Condensation of enamine (V) with hydrazine (VII) in the presence of Et3N in refluxing EtOH yields pyrazole ester (VIII), which is converted into acylguanidine (X) either by direct heating with guanidine (IX) in EtOH or by first transformation into the corresponding carboxylic acid (XI) by saponification with NaOH in refluxing MeOH, followed by treatment with refluxing thionyl chloride and reaction with guanidine hydrochloride (XII) under Schotten-Baumann conditions in refluxing THF/NaOH. Finally, treatment of the free base (X) with HCl in THF allows isolation of the corresponding monohydrochloride-monohydrate salt .

Drug Information Express,Drug R&D,Chemical Database,Patent Search.
Copyright © 2006-2026 Drug Future. All rights reserved.Contact Us