【药物名称】E-2050
化学结构式(Chemical Structure):
参考文献No.42050
标题:N,N-Substd. cyclic amine derivs.
作者:Niidome, T.; Norimine, Y.; Teramoto, T.; Kawano, K.; Kimura, T.; Iimura, Y.; Yamamoto, N.; Suzuki, Y.; Ito, K.; Hatakeyama, S.; Nagato, S.; Komatsu, M. (Eisai Co., Ltd.)
来源:EP 1099692; JP 2000169462; WO 0005210
合成路线图解说明:

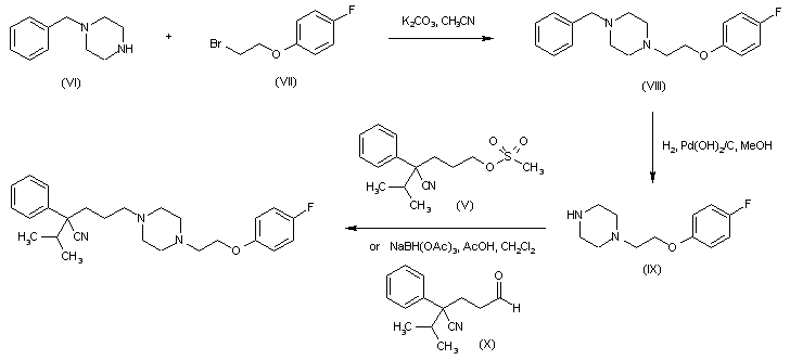
Alkylation of 1-benzylpiperazine (VI) with 2-(4-fluorophenoxy)ethyl bromide (VII) produced the dialkylated piperazine (VIII). The benzyl protecting group of (VIII) was then removed hydrogenolysis in the presence of Pearlman's catalyst to furnish (IX). The title compound was then obtained by condensation of piperazine (IX) with mesylate (V) or, alternatively, by reductive alkylation of (IX) with aldehyde (X) in the presence of sodium triacetoxyborohydride.

参考文献No.629407
标题:Discovery of a potent neuron-selective calcium channel blocker: Structure-activity relationships and neuroprotective effects of novel piperazine derivatives
作者:Yamamoto, N.; et al.
来源:222nd ACS Natl Meet (Aug 26 2001, Chicago) 2001,Abst MEDI 51
合成路线图解说明:

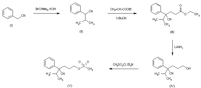
The precursor mesylate (V) was synthesized as follows. Alkylation of phenylacetonitrile (I) using isopropyl bromide in the presence of KOH provided 2-phenylisovaleronitrile (II). Michael addition of ethyl acrylate to the potassium anion of nitrile (II) afforded cyano ester (III). After ester group reduction with LiAlH4, the resultant alcohol (IV) was treated with methanesulfonyl chloride and triethylamine to yield mesylate (V).

合成路线图解说明:

Alkylation of 1-benzylpiperazine (VI) with 2-(4-fluorophenoxy)ethyl bromide (VII) produced the dialkylated piperazine (VIII). The benzyl protecting group of (VIII) was then removed hydrogenolysis in the presence of Pearlman's catalyst to furnish (IX). The title compound was then obtained by condensation of piperazine (IX) with mesylate (V) or, alternatively, by reductive alkylation of (IX) with aldehyde (X) in the presence of sodium triacetoxyborohydride.

合成路线图解说明:

In a further procedure, 1-benzylpiperazine (VI) was alkylated with mesylate (V) to yield adduct (XI). Catalytic hydrogenolysis of the benzyl group of (XI) afforded piperazine (XII), which was finally alkylated with 2-(4-fluorophenoxy)ethyl bromide (VII) in the presence of triethylamine.

Drug Information Express,Drug R&D,Chemical Database,Patent Search.
Copyright © 2006-2026 Drug Future. All rights reserved.Contact Us