【药物名称】R-123942
化学结构式(Chemical Structure):
参考文献No.33879
标题:Angiogenesis inhibiting pyridazinamines
作者:Stokbroekx, R.A.; Van der Aa, M.J.M.; Willems, M.; Meerpoel, L.; Luyckx, M.G.M.; Tuman, R.W. (Janssen Pharmaceutica NV)
来源:EP 0876366; JP 2000503014; US 5985878; WO 9726258
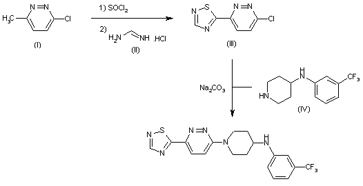
合成路线图解说明:

Treatment of 3-chloro-6-methylpyridazine (I) with thionyl chloride followed by reaction with imino derivative (II) in CH2Cl2 provides thiadiazolyl pyridazine derivative (III), which is then condensed with amine (IV) in the presence of Na2CO3 in DMF.

Drug Information Express,Drug R&D,Chemical Database,Patent Search.
Copyright © 2006-2026 Drug Future. All rights reserved.Contact Us