【药物名称】MHP-34a
化学结构式(Chemical Structure):
参考文献No.45250
标题:Water-soluble trioxanes as potent and safe antimalarial agents
作者:Posner, G.H.; Shapiro, T.A.; Parker, M.H.; Krasavin, M. (Johns Hopkins University)
来源:US 6136847; WO 0059501
合成路线图解说明:

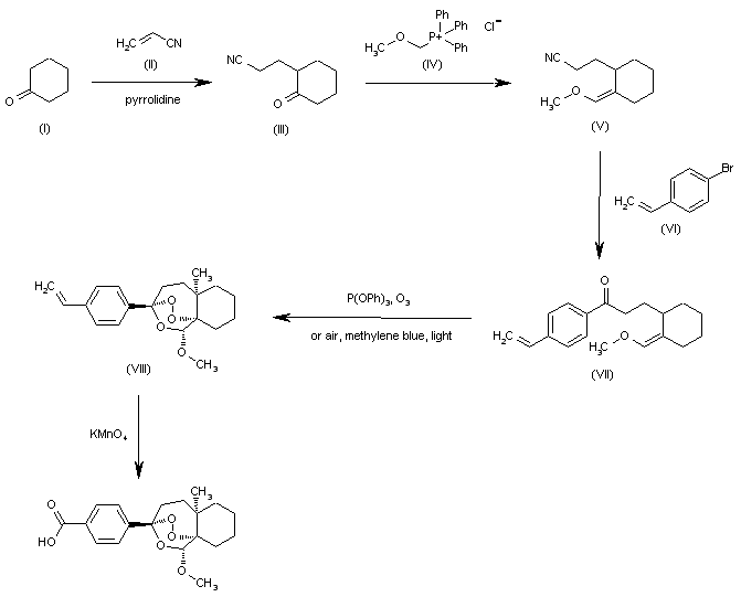
The reaction of cyclohexanone (I) with acrylonitrile (II) by means of pyrrolidine gives 3-(2-oxocyclohexyl)propionitrile (III), which is condensed with methoxymethyltriphenylphosphonium chloride (IV) in THF to yield the methoxymethylene derivative (V). The condensation of propionitrile (V) with 4-bromostyrene (VI) by means of n-BuLi ethyl ether affords the styryl ketone (VII), which is cyclized by means of triphenyl phosphite and O3 (or air, methylene blue and light) to provide trioxane (VIII) as a diastereomeric mixture that is separated by column chromatography. Finally, the vinyl group of the desired diastereomer (VIII) is oxidized with KMnO4 in acetone to afford the target compound.

合成路线图解说明:

The cyclization of 3-[2-(methoxymethylene)cyclohexyl]-1-[4-(tert-butyldimethylsilyloxymethyl)phenyl]-1-propanone (I) by means of triphenyl phosphite and O3 gives the silylated trioxane (II), which is deprotected by means of TBAF to yield the hydroxymethyl derivative (III). Finally, this compound is oxidized with KMnO4 to afford the target compound.

参考文献No.630001
标题:Antimalarial simplified 3-aryltrioxanes: Synthesis and preclinical efficacy/toxicity testing in rodents
作者:Posner, G.H.; Jeon, H.B.; Parker, M.H.; Krasavin, M.; Paik, I.-H.; Shapiro, T.A.
来源:J Med Chem 2001,44(19),3054
合成路线图解说明:

The reaction of cyclohexanone (I) with acrylonitrile (II) by means of pyrrolidine gives 3-(2-oxocyclohexyl)propionitrile (III), which is condensed with methoxymethyltriphenylphosphonium chloride (IV) in THF to yield the methoxymethylene derivative (V). The condensation of propionitrile (V) with 4-bromostyrene (VI) by means of n-BuLi ethyl ether affords the styryl ketone (VII), which is cyclized by means of triphenyl phosphite and O3 (or air, methylene blue and light) to provide trioxane (VIII) as a diastereomeric mixture that is separated by column chromatography. Finally, the vinyl group of the desired diastereomer (VIII) is oxidized with KMnO4 in acetone to afford the target compound.

Drug Information Express,Drug R&D,Chemical Database,Patent Search.
Copyright © 2006-2026 Drug Future. All rights reserved.Contact Us