【药物名称】PGE-3366466
化学结构式(Chemical Structure):
参考文献No.44841
标题:C16 unsaturated FP-selective prostaglandins analogs
作者:deLong, M.A.; Soper, D.L.; De, B.; Wos, J.A. (The Procter & Gamble Co.)
来源:WO 0051980
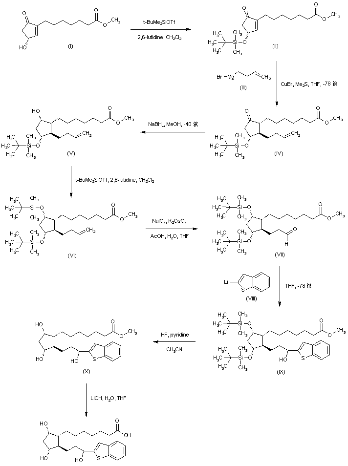
合成路线图解说明:

Methyl (R)-7-(3-hydroxy-5-oxo-1-cyclopent-1-yl)heptanoate (I) was protected as the silyl ether (II) using tert-butyldimethylsilyl triflate and 2,6-lutidine. Conjugate addition to (II) of the organocuprate reagent derived from butenylmagnesium bromide (III) and CuBr produced adduct (IV). Reduction of the keto group of (IV) with NaBH4, followed by silylation of the resulting alcohol (V), furnished the bis-silyl ether (VI). Subsequent olefin oxidative cleavage by means of potassium osmate and sodium periodate gave rise to aldehyde (VII). To this was added 2-lithiobenzothiophene (VIII) to yield carbinol (IX). Desilylation of (IX) to triol (X) was then achieved by using HF in pyridine. The methyl ester group of (X) was finally hydrolyzed with LiOH to give the title carboxylic acid.

Drug Information Express,Drug R&D,Chemical Database,Patent Search.
Copyright © 2006-2026 Drug Future. All rights reserved.Contact Us