【药物名称】CWJ-a-5
化学结构式(Chemical Structure):
参考文献No.598967
标题:Synthesis and antitumor activity of 3-arylisoquinoline derivatives
作者:Park, M.-J.; Chung, B.-H.; Cho, W.-J.; Lee, C.-O.; Yo, S.-J.
来源:Arch Pharmacal Res 1997,20(3),264
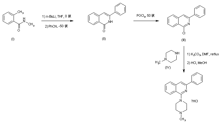
合成路线图解说明:

3-Phenylisoquinolinone (II) was synthesized by addition of benzonitrile to the dilithium derivative of N-methyltoluamide (I). Conversion of (II) to the 1-chloroisoquinoline (III) was achieved by heating with POCl3. Then, displacement of the chlorine atom of (III) with N-methylpiperazine (IV) in refluxing DMF furnished the title compound.

Drug Information Express,Drug R&D,Chemical Database,Patent Search.
Copyright © 2006-2026 Drug Future. All rights reserved.Contact Us